网站首页  词典首页


请输入您要查询的字词:

 

字词 吊干麻
类别 中英文字词句释义及详细解析
释义 吊干麻

【概况】:

异名 苦树皮、棱枝南蛇藤(《陕西中草药》),马断肠(甘肃、浙江),老虎麻藤(四川、贵州)。

基源 为卫矛科南蛇藤属植物苦皮藤的根和根皮。

原植物 苦皮藤Celastrus angulatus Maxim.

形态 攀援灌木,高6~7m。小枝常有4~6锐棱,暗栗褐色,密生灰白色细小皮孔,被短柔毛,髓部呈片状。单叶互生,叶柄粗壮,长1.5~3cm,具浅槽,横切面呈半圆形;叶片宽卵形或近于圆形,先端短尾尖状,基部宽楔形或近于圆形,有时略带心形,边缘具细小钝状锯齿,上面深绿色,下面淡绿色,两面平滑无毛,叶脉在下面突起。聚伞状圆锥花序顶生,下部分枝较上部分枝为长;花梗粗壮有棱,花5数,花黄绿色,直径约5mm;花萼5裂,裂片三角形,边缘呈不整齐锯齿状;雄蕊花丝基部较宽;雌蕊半球形,花柱短,呈柱状,子房3室,每室有胚珠1~2粒。果序长达20cm,果梗粗短;蒴果黄色,近球形,直径1~1.2cm。种子卵形或卵状椭圆形,长约5mm,宽约3mm,表面光滑,淡褐色,外有橙红色假种皮。花期6月,果期10~11月。(图见《中国高等植物图鉴》.第2册.651页.图3044)

生境与分布 生于海拔1000m左右的山坡密林或灌丛中。分布于中国中南、西南及陕西、甘肃、山东、江苏、安徽、浙江、江西。

。【生药】:

采集 全年可采,洗净,剥取根皮,晒干。

贮藏 置干燥处。

【化学】:

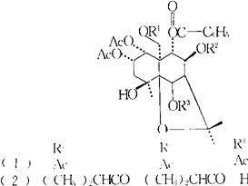
根皮含鞣质、生物碱、卫矛醇(Dulcitol)、β-谷甾醇[1]及昆虫拒食成分:苦树林素(Celangulin)、(1)[2]、苦树亭素甲(Angulatin A)(2)[3]以及多种苦树素(CA-1~7)[4]

附 苦树叶中含黄酮类化合物:槲皮素、异槲皮甙(Isoquercetrin)、金丝桃甙(Hyperoside)、番石榴甙(Guaijverin)和槲皮素-3-鼠李糖半乳糖甙[5]

参考文献 [1]西北大学学报(自然科学版)1987;17(4)∶118 [2]J Nat Prod 1988;51(3)∶537 [3]Chinese Chemical Letter 1991;2(7)∶537 [4]Lir Jikai Ph D Thesis(Lanzhou University),1988 [5]Diss Pharm Pharmacol 1971:23(3)∶247(CA 1 971;75:137516r)

【药性】:

性味 ❶ 《贵州草药》:“辛,凉。有小毒。”
❷ 《陕西中草药》:“苦,寒。有小毒。”
❸ 《全国中草药汇编》:“苦,平。有小毒。”

功效 清热利湿,杀虫。

主治 黄水疮,头癣,骨折肿痛,阴痒。
❶ 《贵州草药》:“清热透疹,舒筋活络,调经。”
❷ 《陕西中草药》:“清热解毒,消肿,杀虫。治秃疮,黄水疮,骨折肿痛,阴道发痒。”

用法用量 内服:煎汤,15~30g。外用:煎水洗或研末撒。

。【临床应用】:

方选和验方 ❶ 《贵州草药》:“治风湿,劳伤,关节疼痛:吊干麻、藤罗根、白金条各30g。泡酒服。”
❷ 《贵州草药》:“治经闭:吊干麻、大过路黄根各30g。煨水服,用酒为引。”
❸ 《陕西中草药》:“治秃疮:苦树皮、盘龙七、黄柏各适量。共研细末,菜油调敷。”

单方应用 ❶ 《贵州草药》:“治小儿麻疹不出:吊干麻30g,红浮漂15~30g。煨水洗。”
❷ 《陕西中草药》:“治黄水疮:苦树皮研粉,菜油调涂。”
❸ 《陕西中草药》:“治阴道发痒:苦树皮、黄柏各适量。共研细粉,撒布患处。”

随便看

 

离鸟网收录3541549条中英文词条,其功能与新华字典、现代汉语词典、牛津高阶英汉词典等各类中英文词典类似,基本涵盖了全部常用中英文字词句的读音、释义及用法,是语言学习和写作的有利工具。

 

Copyright © 2004-2024 vtrois.com All Rights Reserved
更新时间:2026/4/20 14:35:19