合成有机高分子化合物的途径
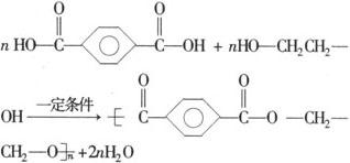
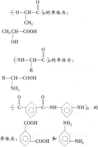
1.单体通过加聚反应可得到有机高分子化合物. 2.单体通过缩聚反应可得到有机高分子化合物.  3.单体通过开环聚合反应可得到有机高分子化合物.  注 由高聚物判断单体的方法: (1)确定高聚物类型.如果链节中含有 、—O—、 等基团,则一般为缩聚产物;如果链节中主链上只含碳碳键,便是加聚产物. (2)判断单体: ❶ 对加聚产物,先看链节中是否有碳碳双键,若有碳碳双键,则单体中必有共轭二烯烃,将双键变成单键,与其相邻的两个单键变成双键,就得到了主链为四个碳原子的二烯烃;其余的部分按主链上每两个碳原子一断开,单键变成双键,就得到了其余的单体. 如:  ❷ 对缩聚产物,若链节中有 基团,一般为聚酯类高分子,按类似酯水解的途径便可找到单体,单体一般为二元羧酸与二元醇或羟基酸.若链节中有 基团,则可按类似蛋白质水解的途径找到单体,单体一般为氨基酸或二元羧酸与二胺.   |