网站首页  词典首页


请输入您要查询的字词:

 

字词 右雷佐生
类别 中英文字词句释义及详细解析
释义 右雷佐生

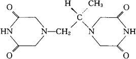
C11H16N4O4=268.27

CAS-24584-09-6

(S)-4,4′-(1-甲基-1,2-乙二基)双-2,6-哌嗪二酮。

2,6-Piperazinedione,4,4′-(1-methyl-1,2-ethanediyl)bis-,(S)-.

(+)-(S)-4,4′-丙烯二-2,6-哌嗪二酮。

(+)-(S)-4,4′-Propylenedi-2,6-piperazinedione.

抗肿瘤药(注:USAN是Cardioprotectant,和IMM不同)。

Dexrazoxane,ADR-529,ICRF-187,NSC-169780.

INN,USAN.

随便看

 

离鸟网收录3541549条中英文词条,其功能与新华字典、现代汉语词典、牛津高阶英汉词典等各类中英文词典类似,基本涵盖了全部常用中英文字词句的读音、释义及用法,是语言学习和写作的有利工具。

 

Copyright © 2004-2024 vtrois.com All Rights Reserved
更新时间:2026/4/18 16:25:11