网站首页  词典首页


请输入您要查询的字词:

 

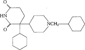
字词 右替米特
类别 中英文字词句释义及详细解析
释义 右替米特

C23H26N2O2=362.47

CAS-21888-98-2

(+)-2-(1-苄基-4-哌啶基)-2-苯基戊二酰亚胺。

(+)-2-(1-Benzyl-4-piperidyl)-2-phenylglutarimide.

3-苯基-1′-苄基-[3,4′-联哌啶]-2,6-二酮。

3-Phenyl-1′-benzyl-[3,4′-bipiperidine]-2,6-dione.

抗胆碱药。

右苄替米特。

Trembex,Dexetimide,Dexbenzetimide.

INN,BAN,DCIT,NFN,USAN,MI.

随便看

 

离鸟网收录3541549条中英文词条,其功能与新华字典、现代汉语词典、牛津高阶英汉词典等各类中英文词典类似,基本涵盖了全部常用中英文字词句的读音、释义及用法,是语言学习和写作的有利工具。

 

Copyright © 2004-2024 vtrois.com All Rights Reserved
更新时间:2026/4/18 12:37:27