网站首页  词典首页


请输入您要查询的字词:

 

字词 台湾山豆根
类别 中英文字词句释义及详细解析
释义 台湾山豆根

【概况】:

异名 苦参(云南)。

基源 为豆科山豆根属植物伏毛山豆根的根。

原植物 伏毛山豆根Euchresta horsfieldii(Leschen)Benn.[E.formosana(Hay.)Ohwi],又名台湾山豆根(《台湾热带植物彩色图鉴》)。

余项参见“伏毛山豆根”条。

。【化学】:

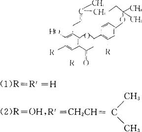
含黄酮类化合物,有山豆根素A,B,C(Euchrestaflavanones A,B,C)、山槐素(Moackiain)、山豆根新素(Euchrenone)a5(1)、山豆根新素a6(2)[1]

附 茎中含苯并呋喃色酮类化合物,有山豆根亭(Euchretin)A,B和C[[2]

参考文献 [1]Phytochemistry 1989;28(10)∶2811(CA 1990;112∶73821j) [2]Phytochemistry 1989;28(9)∶2518(CA 1990;112∶73808x)

【药性】:

性味 苦,凉。

功效 驱虫,利咽,解热毒。

主治 腹胀,腹痛,痢疾,咽喉肿痛,牙痛,疮疖,肿毒。

用法用量 内服:煎汤,6~15g。外用:捣敷。

随便看

 

离鸟网收录3541549条中英文词条,其功能与新华字典、现代汉语词典、牛津高阶英汉词典等各类中英文词典类似,基本涵盖了全部常用中英文字词句的读音、释义及用法,是语言学习和写作的有利工具。

 

Copyright © 2004-2024 vtrois.com All Rights Reserved
更新时间:2026/4/18 6:03:06