网站首页  词典首页


请输入您要查询的字词:

 

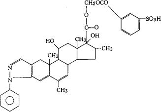
字词 可的磺唑
类别 中英文字词句释义及详细解析
释义 可的磺唑

C37H40N2O8S=672.79

CAS-50801-44-0

11β,17,21-三羟-6,16α-二甲基-2′-苯基2′H-孕甾-2,4,6,-三烯并[3-2-c]-吡唑-20-酮21-(间-磺基苯甲酸酯)。

11β,17,21-Trihydroxy-6,16α-dimethyl-2′-phenyl-2′H-pregna-2,4,6-thieno[3,2-c[-pyrazol-20-one 21-sulfobenzoate.

肾上腺皮质激素类药,抗炎药。

可替苏佐,可的舒唑。

Cortisuzol,RU-16999,Solu-Altim.

INN,DCF,USAN.

随便看

 

离鸟网收录3541549条中英文词条,其功能与新华字典、现代汉语词典、牛津高阶英汉词典等各类中英文词典类似,基本涵盖了全部常用中英文字词句的读音、释义及用法,是语言学习和写作的有利工具。

 

Copyright © 2004-2024 vtrois.com All Rights Reserved
更新时间:2026/4/17 22:05:29