网站首页  词典首页


请输入您要查询的字词:

 

字词 可待因[中]
类别 中英文字词句释义及详细解析
释义 可待因[中]

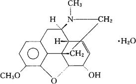
C18H21NO3·H2O=317.38

CAS-6059-47-8

CAS-76-57-3(anhydrous)

7,8-二脱氢-4,5α-环氧-3-甲氧基-17-甲基吗啡喃-6α-醇-水化合物。

7,8-Didehydro-4,5α-epoxy-3-methoxy-17-methylmorphinan-6α-ol monohydrate.

镇痛药,镇咳药。用于无痰干咳及刷烈频繁的咳嗽。

甲基吗啡。

Codeine,Codicept.

BAN,IP,PH,USAN,USP.

随便看

 

离鸟网收录3541549条中英文词条,其功能与新华字典、现代汉语词典、牛津高阶英汉词典等各类中英文词典类似,基本涵盖了全部常用中英文字词句的读音、释义及用法,是语言学习和写作的有利工具。

 

Copyright © 2004-2024 vtrois.com All Rights Reserved
更新时间:2026/4/18 21:37:00