网站首页  词典首页


请输入您要查询的字词:

 

字词 可多克辛
类别 中英文字词句释义及详细解析
释义 可多克辛

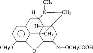
C20H24N2O5=372.42

CAS-7125-76-0

[[(4,5α-环氧-3-甲氧-17-甲基吗啡喃-6-亚基)氨基]氧]醋酸。

[[(4,5α-Epoxy-3-methoxy-17-methylmorphinan-6-ylidene)amino]oxy]acetic acid.

二氢可待因酮O-(羧甲基)肟。

Dihydrocodeinone O-(carboxymethyl)oxime.

镇咳药。

可多克西。

Codoxime,Codossima.

INN,USAN.

随便看

 

离鸟网收录3541549条中英文词条,其功能与新华字典、现代汉语词典、牛津高阶英汉词典等各类中英文词典类似,基本涵盖了全部常用中英文字词句的读音、释义及用法,是语言学习和写作的有利工具。

 

Copyright © 2004-2024 vtrois.com All Rights Reserved
更新时间:2026/4/18 10:47:21