网站首页  词典首页


请输入您要查询的字词:

 

字词 可变构成指数
类别 中英文字词句释义及详细解析
释义 可变构成指数

某项指标计算期加权平均数与基期加权平均数对比所形成的指数。

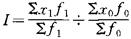
计算公式为:

式中∑x1f1、∑x0f0分别是计算期和基期的标志总量;∑f1、∑f0分别是计算期和基期的总体单位总数。数值的大小,既决定形成该指数的数量指标结构变动的影响,又受形成该指数的质量指标水平变动的影响,故称可变。

随便看

 

离鸟网收录3541549条中英文词条,其功能与新华字典、现代汉语词典、牛津高阶英汉词典等各类中英文词典类似,基本涵盖了全部常用中英文字词句的读音、释义及用法,是语言学习和写作的有利工具。

 

Copyright © 2004-2024 vtrois.com All Rights Reserved
更新时间:2026/4/19 0:30:48