网站首页  词典首页


请输入您要查询的字词:

 

字词 可变指数
类别 中英文字词句释义及详细解析
释义 可变指数

在对社会经济现象总体进行分组的条件下,表明总平均指标的对比关系的指数。

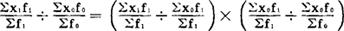
它不但反映总平均数的动态对比中各单位(或各组)平均水平的变化,还反映总体内部结构变化的影响。其计算公式为:

式中:(可变)代表可变指数;x代表组平均数;f代表各组单位数;0和1分别代表基期和报告期。

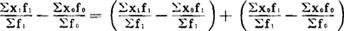
可变指数的分子与分母之差,表示报告期的总平均数比基期的总平均数相差的数额。即:

可变指数与固定结构指数、结构影响指数之间的联系:

可变指数=固定结构指数×结构影响指数,其公式可表述为:

这三种指数之间不但在相对数上存在著联系,在绝对数上也有内在联系。

即:

〔参〕固定结构指数 结构影响指数

随便看

 

离鸟网收录3541549条中英文词条,其功能与新华字典、现代汉语词典、牛津高阶英汉词典等各类中英文词典类似,基本涵盖了全部常用中英文字词句的读音、释义及用法,是语言学习和写作的有利工具。

 

Copyright © 2004-2024 vtrois.com All Rights Reserved
更新时间:2026/4/18 14:27:10