网站首页  词典首页


请输入您要查询的字词:

 

字词 可决系数
类别 中英文字词句释义及详细解析
释义 可决系数

用来反映回归模式说明因变量变化可靠程度的一个统计指标,一般用符号"R"表示,可定义为已被模式中全部自变量说明的自变量的变差对自变量总变差的比值。

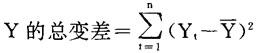
回归模型中因变量Y的总变差,能通过该变量的观察值Yt与平均值的差方求和来测定:

与每个观察值Xt对应的Yt的估计值t可以根据回归模式计算出来,如

t=a+bx

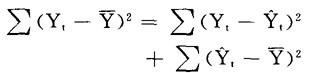
则把(t)定义为因变量已被说明的变差,(Ytt)定义为因变量未被说明的变差。很明显,其差方之和为:

可以证明,Y的总变差等于已被说明的总变差与未被说明的总变差之和,即

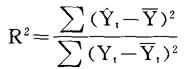
根据可决系数R2的定义,

R2的值从0到1。R2的值如为0,表示回归模式不合适,根本不能说明因变量的变化;R2的值如为1,则表示因变量的全部变差都已被回归模式中的自变量加以说明了。如果R2的值为0.80左右,即可认为模式基本令人满意。

随便看

 

离鸟网收录3541549条中英文词条,其功能与新华字典、现代汉语词典、牛津高阶英汉词典等各类中英文词典类似,基本涵盖了全部常用中英文字词句的读音、释义及用法,是语言学习和写作的有利工具。

 

Copyright © 2004-2024 vtrois.com All Rights Reserved
更新时间:2026/4/19 21:25:12