可乐定[中]
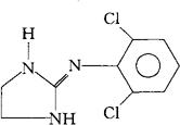
C9H9Cl2N3=230.10 CAS-4205-90-7 2,6-二氯-N-2-咪唑烷亚基苯胺。 2,6-Dichloro-N-2-imidazolidinylidenebenzenamine. 2-[(2,6-二氯苯基)亚氨基]咪唑烷。 2-[(2,6-Dichlorophenyl)imino]imidazolidine. 抗高血压药,可激动中枢α2-肾上腺素受体。 用于高血压症。 氯压定,可乐宁,血压得平,110降压片。 Clonidine,ST-155-BS,Chlofazolinc,Catapressan. INN,BAN,USAN.  |