网站首页  词典首页


请输入您要查询的字词:

 

字词 古诺均衡
类别 中英文字词句释义及详细解析
释义 古诺均衡

指这样一组厂商的产出水平和最终市场价格,在这一产出水平和价格下,没有厂商能够在其他厂商生产的古诺产量给定的前提下,通过改变自身的产出水平来提高利润。

先考察两个厂商时的古诺均衡。假定每个厂商的成本函数为TCi(qi)=ciqi,i=1,2,其中c1,c2>0。市场需求函数为P(Q)=a-bQ,a,b>0,a>ci,其中Q=qi+q2

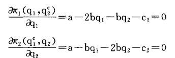
则古诺均衡要求满足两个一阶条件:

以实现

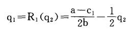
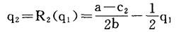
由此推出两个厂商的最佳反应函数:

联立方程就可求出古诺均衡解为:

Pc=a-bQc=(a+c1+c2)/3

同时有二阶条件。由反应函数可画出反应曲线,两厂商反应曲线的交点为均衡点,两厂商的产量是战略替代的。

模型推广到N个厂商时分两种情况考虑,其一,N个厂商成本相同;其二,N个厂商成本不同。在第一种情况下,有ci=c,i=1,…,N。

则对任一厂商i,求

推出均衡解#。可知,当N=1时,为垄断情形;N=2时,为双头垄断情形;当N→∞时,Pc→c,则趋近于竞争市场的情形。在第二种情况下,由于Ci不同,单个厂商的均衡产量难以求出,但可变化后求行业的均衡解。有

在古诺均衡下,随著厂商数目的增加,社会福利水平会提高。

参见"古诺双寡头"。

随便看

 

离鸟网收录3541549条中英文词条,其功能与新华字典、现代汉语词典、牛津高阶英汉词典等各类中英文词典类似,基本涵盖了全部常用中英文字词句的读音、释义及用法,是语言学习和写作的有利工具。

 

Copyright © 2004-2024 vtrois.com All Rights Reserved
更新时间:2026/4/19 15:47:21