网站首页  词典首页


请输入您要查询的字词:

 

字词 变质量运动物体的分析方法
类别 中英文字词句释义及详细解析
释义 变质量运动物体的分析方法

在客观世界中,也存在质量不是常数而是随时间变化的物体(质点)的现象。

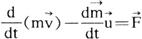
例如火箭及雨滴等,研究此类物体,可从动量定理出发。设一物体在t时刻质量为m,速度为(v《光速c),同时有一小质量△m以速度运动,并在t+△t时刻与m合并,合并后的共同速度为,设作用在m及△m上的合外力为,则由动量定理得

(m与△m之间的相互作用力即内力已相消),略去上式中的高级小量,即得变质量物体的动力学方程

虽在推导上式述及的是的情况,其实上式也适用于的情况,此时应是分裂出去的dm的速度。

随便看

 

离鸟网收录3541549条中英文词条,其功能与新华字典、现代汉语词典、牛津高阶英汉词典等各类中英文词典类似,基本涵盖了全部常用中英文字词句的读音、释义及用法,是语言学习和写作的有利工具。

 

Copyright © 2004-2024 vtrois.com All Rights Reserved
更新时间:2026/4/18 6:30:15