网站首页  词典首页


请输入您要查询的字词:

 

字词 发展中国家的资本成本与投资:奥尔巴克模型
类别 中英文字词句释义及详细解析
释义 发展中国家的资本成本与投资:奥尔巴克模型

【内容介绍】:

1.引言

对于发展中国家的政府来说,一项重要的政策目标就是把资本吸引到高收益率的固定投资项目上来,因为同比较发达的国家一样,发展中国家需要通过资本深化来提高劳动生产率和生活水平。

然而,限于下列种种原因,发展中国家鼓励投资的税收政策在设计上更加复杂,更需要谨慎从事。第一,这些国家缺乏功能完善的国内资本市场,难以计算新项目的资本成本。第二,由于国内资本短缺,这些国家不得不大量依赖外国直接投资。这同简单地供给资金相比,投资者的介入更加全面。

第三,这些国家以国内消费税、关税、配额以及限制等形式表现出来的对贸易和生产的扭曲更加明显,在估计潜在投资所面临的刺激时要予以考虑。第四,某些类型的投资刺激需要有相应的管理措施,而除了最发达国家之外,其他国家几乎都缺乏这种基本性的管理措施。第五,发展中国家的政府可能不具备说服投资对政策变化做出反应的可信度。

尽管政策设计的问题很多,但适当的投资环境所产生的潜在社会收益也很大,因而如何准确评估税收刺激的效果成为关键问题。

奥尔巴克(Auerbach,1995,p.137-164)把上述种种因素考虑进来,完善和发展了测定投资刺激的资本成本模型,用来评估现行政策和指导新政策的设计。本文首先介绍奥尔巴克模型的基本假设和含义,然后把各种税收刺激措施纳入该模型中,考察它们的刺激效果。

2.模型框架

2.1 基本模型的构建

为了评估投资刺激,首先考察一个在生产过程中利用单一资本投入(劳动)和中间投入物的企业的决策。为了简化起见,假定资本和劳动都是同质的。

开始还假定企业的投资没有风险,而且适用具有完全损失冲销的不变税制,未来具有完全确定性,可以即刻调整资本,而且是完全竞争的(即所有价格是既定的)。尽管在分析投资刺激时都假定有这些限制条件,但它们大大影响著结果,因此奥尔巴克模型放宽了这些限制条件。

假定企业按下列关系,利用资本K、劳动L和投入M,生产产出X:

X=X(K,L,M) (1)

其中,X(·)属于规模收益不递增的一般生产函数。

令r代表企业在评估来自投资项目的未来现金流量时使用的实际贴现率。正如奥尔巴克(Auerbach,1983b,p.905-940)所言,它也可以说成是债务和股本资金实际成本的加权平均值。例如,在没有指数化税制的封闭经济中,r的公式可以写成:

r=b[i(1-τ)-π]+(1-b)μ/(1-Φ) (2)

式中各符号的经济含义是:

r——资本成本的加权平均值

b——该项目用债务融资的比例或债务-价值比率

i——名义利率

τ——公司税率(利息支付属于正常的纳税扣除项)

π——通货膨胀率

μ——股东的必要实际税后收益率(股东的实际贴现率)

Φ——股本所得的有效家庭(个人)税率

这种测定标准取决于许多制度性因素,诸如边际股本资金的来源(因为它决定著股息税率所产生的实际边际影响的程度),在发展中国家还有有关利率的计算以及外国投资者的重要性等。

眼下,只把r的决定看作是既定的。令产品价格为p,原材料价格为v,资本品价格为g,名义工资率为w。

鉴于税收和其他因素会给产品市场和要素市场造成扭曲,故这些价格并不一定就是可观察到的“市场”价格,它们只是企业面临的各种商品的有效边际价格。

令Γ代表企业每一元新投资因折旧扣除、投资补助以及投资抵免等而获得的税后现金流量的现值。

也就是说,如果补助和投资税收抵免k立即获取,而且在日期s的初始投资之后的每时期t都获得折旧扣除D(t-s),那么,

Γ=k+τz

在实践中,各国使用的投资刺激有很多种类型。尽管有些投资刺激比较复杂,但大多数都能用上述框架以表述。

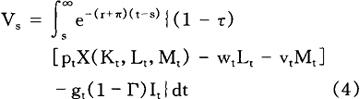
公司的使其股东财富在时期s最大化问题等于使下式最大化:

式中,I代表企业在时期t的投资。根据众所周知的假设,资本按比率δ呈指数减少,资本存量的变化服从下列方程式:

Kt=It-δKt (5)

企业在时期t之后的每一时期里选择I、L和M,以便使函数Vs最大化。为了集中分析投资决策,有时以有关劳动和原材料投入的最适决策作为前提条件将有助于考察这种决策。由于每种要素都是可变生产要素,故通过假定在每一时期t(>s)同期出现的边际收入等于边际成本,每种要素的最优化得到下列标准规则:

XLt=wt/pt (6)

XMt=vt/pt (7)

决策规则(6)式和(7)式给出了包含变量L、M和K的两个方程式。

这两个方程式可以界定L和M,K隐含在其中,也就是说,根据(6)式和(7式),可得到下列方程式:

L*=L(K,w/p,v/p) (8)

M*=M(K,w/p,v/p) (9)

据此可以得到惟一的K的生产函数:

新的函数F(·)必须要有时间下角标,这是因为它取决于实际工资(w/p)和实际原材料价格(v/p)。可以看出,F(·)是一种把资本作为自变量的剩余生产函数,即从以资本、劳动和原材料作为自变量的一般生产函数X(·)中减去劳动和原材料成本。

利用函数F(·)就可以重新写出在时期s的企业最优化问题:

从而得到著名的尤勒方程:

F′t(Kt)=gt(r+δ)(1-Γ)/pt(1-τ) (12)

方程式(12)的右式传统上通称为资本的使用成本(user cost of capital),因为它界定了应当等于边际资本产品的影子价格(Jorgenson,1963,p.247-259)。可是,就其他生产要素来看,预期资本存量是所有投入物价格的函数,不单单是直接投入的资本价格的函数。

因此,倘若要想知道资本存量本身而不是其边际产品,就需要有另一种使用成本公式。

为此,假定函数F(·)具有可分形式:

Ft(K)=θ(wt/p′t,vt/pt)G(K)

tG(K) (13)

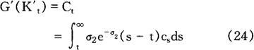
其中,函数G(·)是就资本赢利性波动标准化的剩余生产函数,θ是代表资本赢利性因投入物价格变化而波动的条件。因此,一阶条件式(方程式(12))可以改写成:

G′(Kt)=ct

=[gt(r+δ)(1-Γ)/(1-τ)]/θtpt (14)

鉴于假定企业可以即刻调整其资本存量,那么,在初始资本存量以及投资率既定的情况下,方程式(14)就是资本存量在时期t的解。因此,由于函数G(·)与时间无关,故方程式(14)的右式具有足够的统计量来说明对资本投入生产使用的刺激。

这就是奥尔巴克建立的用于阐示投资税收刺激效果的“完全”资本使用成本模型。该模型既包含了有效资本租金价格对投资的直接影响,又包括了其他生产要素成本对投资的间接影响。

2.2 有效税率

很多经济学家(Auerbach,1983a,p.451-505;King and Fullerton,1984)业发现,通过计算“有效税率”来考察税收制度对投资的影响大有裨益。

尽管大多数文献只集中于工业化国家,但也有学者把这种方法用于发展中国家(Pellechio,1987)。

这种方法的思维方式是:在资本使用成本既定的前提下,适用于广义所得税基或“实际”经济所得税基的、能够导致可观察到税后收益的税率是怎样的税率。

这个问题看起来似乎很简单,可实际上这个概念无法给出惟一的定义,要视哪种税包括在计算中以及作为基准的税后或税前收益率水平而定。

况且,单凭计算有效税率并不能提供足够的信息,以判断税收政策对投资的影响。由于资本使用成本在税后收益率加上税收楔子之后才能计算出来,所以,只知道税收楔子多大不行,还要知道它在多大程度上将导致税前收益率提高而非税后收益率降低。

即使在必须把世界价格和收益率看作是既定的小型开放经济中,并非所有税种都一定足额增加资本成本,有些由不完全流动的生产要素(如土地和劳动力)承担了。

即使在资本完全流动的情况下,有些资本所得税如果得到外国政府的抵免有可能转嫁到国外。

尽管有这些限制,有效税率概念仍然经常用于特定目的,特别是用来比较不同资产投资的相对刺激效果。因此,奥尔巴克比较详细地阐述了有效税率与上述模型的融合。

他把影响资本收益的总税收楔子划分为两部分。第一部分是必要收益率r与公司税前收益率之间的楔子,第二部分是必要收益率r与投资者缴纳各种税后的收益率之间的楔子。第一个楔子是公司税的有效税率,表明了直接影响投资的各项规定如何影响公司税税基;也可以把它理解为在股本融资情况下公司层次的有效税率,不考虑允许股息支付扣除的规定。

为了计算有效公司税率,就要估计(14)式中的税率τ需要怎样变化,才能抵消废除投资刺激而实施经济折旧扣除制度的影响。在假定该方程式的其他所有各项固定的情况下,通过改变τ来抵消重置Γ(经济折旧的现值为τδ/(r+δ)),得到下列有效税率(有效公司税率)方程式:

ec={[(r+δ)(1-Γ)/(1-τ)-δ]-r}/[(r+δ)(1-Γ)/(1-τ)-δ] (15)

式中,分母是资本的税前收益率(等于税前收益率扣除实际折旧),分子是该收益率与公司资金成本r之间的“税收楔子”(Auerbach,1983a,p.451-505)。方程式(15)使我们看到一种标准结果:资产的直接注销(Γ=τ)导致有效税率为零,并且在经济折旧扣除情况下[Γ=τδ/(r+δ)],ec=τ。

更加综合的有效税率计算方法(King and Fullerton,1984)不仅考虑了公司层次上的引导投资的条款,而且还考虑了上述的第二种楔子,即公司税后的企业收益率与储蓄者的收益率之间的楔子。第二种楔子考虑了公司的利息可扣除性以及个人或其他实体获得公司来源所得所缴纳的税收。为了使总楔子等于上述两种楔子之和,还要加上税前公司收益与公司资金成本r间的缺口、r与资金供给者收益率(比如说s)间的缺口。

为了计算出这种总有效税率,我们必须联系储蓄者的净收益来表达r,即把债券持有者的实际净(或税后)收益(比如说n)和利息所得的所得税率(比如说tp)代入(2)式,

i=(n+π)/(1-tp) (16)

该结果是以股票和债务的缴纳所有税收之后的实际收益μ和n来表达r,把它们代入(15)式来确定总有效税率。与以前的情况不同,我们可以用μ和n而非r来计算税收楔子,这种计算取决于对这两种净收益率μ和n的关系所作的假设,而假设条件的选择又取决于所选择哪种融资均衡概念(King and Fullerton,1984)。在“s固定”这种情况下,这些净收益率假定相等,即μ=n=s,这种范围更广的有效税率(有效总税率)是:

eT={[(r+δ)(1-Γ)/(1-τ)-δ]

-s}/[(r+δ)(1-Γ)/(1-τ)-δ] (17)

(17)式的分子就是“总”税收楔子,包含了利息可扣除和个人税通过公司资金成本r和资产所有者的净收益率s的关系表现出来的影响。

有效税率eT表明了在国内融资的国内投资的总税收负担。在封闭经济中,对储蓄和投资的征税没有区别,因此,这对税收制度对投资的影响提供了很多情况。

然而,在开放经济中,储蓄和投资可能发生在不同的地点,一国旨在鼓励储蓄的政策不一定鼓励投资,但会引起更多的资本流向海外。如果边际投资者的资金来自海外,就需要区别对储蓄和投资的征税,就需要换一种计算方法。

一种方法就是要考虑对外国人持有的股票和债券的税收待遇。例如,安德森等(Anderson,et al.,1991)计算了在美国投资的有效税率eT,这些投资不仅用国内的债券和股票融资,而且还通过在日本的有价证券投资提供的债券和股票来融资。这种方法的一个基本问题,当这些资金来自海外时,企业的资金成本r如何与股票和债券的必要收益率μ和n联系在一起。这个问题的答案取决于对待这种资本流动的东道国税制和居住国对已缴纳外国税收的抵免机制,这反过来又取决于提供资本的实体类型,因为公司从事的外国直接投资与个人的有价证券投资在税收待遇上是不同的。

2.3 有效税率与资本的使用成本

像日本和美国这样的工业化国家,投资刺激政策的主要影响很可能都是通过税制来实现的,故使用上述已讨论过的各种有效税率措施即可。可是,在发展中国家,政策的最重要的影响全然不是通过税收制度或者不是很直接地通过税收制度实现的。

(14)式是资本使用成本的表达式,其右式可以区分为影响资本品价格g、必要收益率r和产品价格p的政策以及影响生产率θ(通过有效实际工资w/p或有效原材料投入成本v/p)的政策。下面,我们就分别简要讨论这些政策如何影响(24)式所定义的资本成本。

间接税 如果原材料产品适用从价税率tm,那么,根据(13)式,实际原材料成本v可能等于(1+tm)vw,vw代表扣税后价格。假定间接税不适用于出口,它们产品价格p的表达式没有影响,p=pm,pw代表世界价格。

关税 对原材料投入品按税率Tm课征关税,就像间接税一样,影响企业的原材料成本[v=(1+Tm)vw]。考虑到世界价格,税率为Tp的关税可能使产品价格提高至p=(1+Tp)pw

众所周知,这种产品价格效应等同于对企业的一般性生产补贴。

不完全竞争 如果企业不是价格接受者,这就有可能使销售价格p的加价超过边际成本。

当然,这种加价的程度取决于产品市场的不完全性质和程度。一种比较容易分析的不完全类型是垄断性竞争,在这种情况下,每个企业面临著一条向下倾斜的需求曲线,价格弹性为η,η取决于总体需求弹性、企业数量以及进口替代的程度。

在这种情况下,企业在做出要素利用决策时,面临的产品价格是p(1-1/η)而非p。这种情况类似于税率为1/η的生产税。

总之,影响(14)式分子的政策都与资本有关,不管它们是不是资本所得税,它们所具有的边际效应等同于资本所得税税率变化的效应。从这个意义上说,要准确计算资本所得的“有效税率”,就要把它们包括在内。

影响(14)式右式分母的税收和非税收政策也影响投资,因此,在分析中应当对此予以考虑,以便全面测定政策对投资的影响。这些政策的边际效应与资本所得税变化的边际效应不同,原因在于它们还影响著劳动力和原材料的实际成本。

此外,由于这些政策通过产品或其他投入品的价格间接影响资本的吸引力,因此,如果没有生产过程的详细信息,它们对投资的影响就无法测定。也就是说,影响p、w/p或v/p的政策都要通过(14)式中的θ项起作用,而θ的形式取决于生产函数的具体表述,特别是其他投入品与资本的替代或互补程度。

例如,假定生产过程要求原材料与产出的比率一定,资本和劳动的增值用科布-道格拉斯函数表述。于是,函数X(·)的形式是:

X(K,L,M)=min(AKαLβ,M/m) (18)

式中的α、β和m都是常数。

函数θ(·)的形式是:

θ(w/p,v/p)=(w/p)-1/(1-β)[1-m(v/p)]1/(1-β) (19)

在这种情况下,劳动和原材料与资本在生产过程中是互补的:无论是原材料的实际价格提高还是劳动的实际价格提高,都将降低预期资本存量。(14)式右式定义的资本使用成本对实际工资的弹性是1/(1-β),对原材料实际成本的弹性是m(v/p)/[1-m(v/p)];相比之下,对公司税率τ(令Γ不变)的弹性是τ/(1-τ)。对于更为一般的生产函数表述,即使采取(13)式给定的可分形式也不可能表达出F(·),而且θ项也只能局部逼近。

上述所讨论的所有政策都是在世界价格固定的市场中起作用的,在这种世界价格与企业面临的价格之间加进一个楔子的各种政策,直接使资本使用成本发生变化。我们必须把资本所得税的边际负担加到资金提供者的必要净收益率中。同样,产出和投入的国内价格(p和v)等于世界价格加上关税或与关税等价的数量限制,诸如本国规定的进口配额。

与封闭经济的情况不同,不需要用一般均衡计算方法估计征税之后毛收益率或价格上涨多少,这使得由此计算出来的有效税率更加直接地反映出资本使用成本。

考虑到劳动市场的种种干预情况,这种简化不合适,因为在大多数国家,劳动力不像资本那样富有流动性。因此,我们不能即刻计算出税收政策和非税收政策对实际工资率继而对资本使用成本的影响,尽管这些政策在工人得到的实际工资与企业面临的劳动成本之间加进了一个楔子。如果劳动所得税的负担大部分由工人而非企业承担,那么,在有效税率的计算中包含毛工资与净工资间的差额就会出现严重错误。

综上所述,(14)式提供了一个估计税收政策对投资刺激影响的良好方法。同这种方法相比,计算资本有效税率的传统方法表现出很多不足。第一,传统方法忽略了储蓄决策和投资决策的可分性,也没有考虑国际资本流动的重要性。第二,传统方法只注意到对资本和资本所得的明显的征税,忽视了非税收资本政策(如确定目标的贷款)和税收与非税收政策(如关税和配额),它们通过对产品价格和其他投入品价格的影响而间接影响著投资刺激。第三,传统方法强调资本的毛收益率与净收益率之间税收楔子的大小而非毛收益水平,既定的有效税率就可能对应于若干不同水平的预期资本存量,取决于有关税种的税收归宿。

第四,前面回顾的各项研究实质上属于静态分析,忽略了投资过程的动态趋势。特别是在考察税收制度的变化时,投资过程本身的特征非常重要。

3.税收制度的变化

3.1 分析框架

随著时间的推移,影响投资的经济环境会发生显著变化,其中包括税收制度的变化。

这些变化不仅可能由影响所有企业的政策变化所引起,而且还会由单个企业的税收地位变化所引起。例如,某个企业的应税所得在某一时期可能面临著零边际税率,因为在该时期它可以把大量结存的损失和折旧扣除向以后年度结转,以后这些扣除一旦冲销完毕,该企业就要纳税。税收制度的两种变化(包括涉及整个经济的和特定企业或部门的)对投资刺激会产生强大的(也许是暂时的)影响。

我们一旦承认经济环境变化的重要性,上文关于瞬时资本存量调整的假设就更具有局限性。很明显,企业对资本使用成本的每一次瞬时变化做出的反应,不会是使其资本存量大起大落。因此,为了使投资行为的模型构建更加贴近现实,有必要废弃这一假设。

下列分析与奥尔巴克(Auerbach,1989,p.939-962)最初提出的模型十分接近,同时奥尔巴克和希恩斯(Auerbach and Hines,1988,p.211-216)以这种方法对美国进行了经验分析。

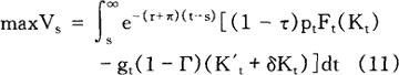
首先从假定企业追求企业价值最大化开始,如(11)式所示,但这里有两点变化。

第一,税收参数会随时间变化,特别是τ、k和Γ需要有时间下标。

眼下我们继续假定这些税收变化是完全确定的,不存在任何风险。第二,用总成本g(1-δφK+φK′/2)取代外生的资本品价格g,给出简单的资本品边际成本方程式:

q=d{g[1-δφK+φ(I-δK)/2]I}/dI

=g(1+φK′) (20)

式中,φ代表调整成本参数,等于有效资本品价格增加额除以企业单位额外投资的百分比。可见,q是包含了边际调整成本的资本品价格。

用(20)式定义的q取代(11)式中的g并给税收参数加上下标,就可以取代(12)式而得到企业的欧勒方程式:

F′t(Kt)=[qt(r+δ)(1-Γt)/pt-qt(1-Γ′t)/pt]/(1-τ) (21)

式中,投资刺激的税后现值是:

(21)式只是明确考虑了资本品实际税后相对价格q(1-Γ)/p的资本使用成本(Auerbach,1983b,p.905-940)。然而,鉴于q本身就是一种投资函数,故(21)式只是K的一阶条件而非直接解。

为了求得K的解,必须把(20)式代入(21)式,得到K的二阶微分方程。

由于这个方程是非线性的,所以一般得不到闭式解。投资的解可以用趋近“预期”资本存量的局部调整模型来表述:

It=-σ1(K′t-Kt)+δKt (23)

其中,预期资本存量满足

瞬时资本成本项ct等于:

σ1(≤0)和σ2[≥(r+δ)]是二阶微分方程的根。

由于权数σ2e-σ2(s-t)之和等于1,可以认为(24)式表明影响时间t的投资的预期资本存量取决于现在和未来资本使用成本的加权平均值Ct。只有当调整成本为零,继而调整是暂时的(在此情况下σ2=∞)时,或者,如果资本成本不随时间而变化,当期的资本成本才能表明税收制度对投资的影响。一般而言,取决于现在和将来资本成本的加权平均值的有远见的投资行为,可能比假定资本成本固定、税率不变所隐含的投资行为大不相同。

使用这种新方法比较简单。

这种方法与传统方法的不同之处主要表现在它依赖于预测的将来资本成本而非滞后的资本成本。

按照这种方法,首先计算出每时期t的瞬时资本使用成本ct,然后,把所有将来时期的资本使用成本加总;加总时使用的权数取决于许多参数,而这些参数并非都是已知的(如φ)。因此,这就需要用不同的参数进行试验。

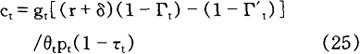
首先在计算Γ时允许税率τ变化,同时也必须允许Γ变化。下面,根据许多国家的政策和实际做法,说明这种方法。

3.2 税制结构变化

近年来,许多国家都在进行税制改革,旨在降低税率的同时,扩大税基。

奥尔巴克(Auerbach,1989,p.939-962)曾就美国1986年的税制改革对投资的影响进行了讨论。

在发展中国家当中,墨西哥已对公司税制进行了指数化,并逐渐把公司税率从42%降低到35%。在此过渡时期,税率降低本身对(25)式给定的瞬时资本使用成本产生了三种影响。第一,这降低了出现在分母中的税率,减少了资本成本。第二,这降低了折旧扣除的税后现值Γ[用(22)式计算],增加了资本成本。

第三,这使Γ的时间导数Γ′是负的,即随著减税的逐步推行,折旧扣除的现值下降。

最后一种效应将降低资本成本:在税率较高的情况下,折旧扣除依然存在,对投资有一种刺激效应。总的来看,瞬时资本成本以及现在和将来资本使用成本的加权平均值都会下降,刺激了投资。

类似地,还需要区分投资导向的税收刺激(如投资税收抵免、税收τ的削减)的效应。

虽然它们都能鼓励投资,但在投资刺激的程度既定的情况下,降低税率会使纳税义务减少得更多,因为这不仅降低了新投资的纳税义务,而且还减少了企业就其所得(包括现有资本产生的所得和经济租金)缴纳的税收。

3.3 免税期

明兹(Mintz,1995,p.165-194)认为,免税期并不一定意味著企业的资本使用成本与不征税情况下的相同,因为免税期并不是长久的。

在考虑是否投资时,企业要计算免税期结束后今天的资产购买将缴纳的税收以及以后日期对投资的税收刺激。

对免税期与对“综合”税率变化的分析方式几乎是一样的。这种情况与下述情况是相同的:企业在预定的时期内面临的税率是零,以后则适用正常的税率τ。

免税期对瞬时资本使用成本有三种影响:当期税率为零;如果企业目前投资的折旧扣除延续到免税期以后,那么,税后折旧扣除的现值Γ可能会减少而不会消失;这种现值的导数Γ′是正的,因为随著免税期末的临近,从税额中扣除的比例将提高。第一种效应是正的,第二种和第三种效应是负的。免税期对投资的影响,取决于投资刺激本身的慷慨程度。有些投资很可能会受到抑制,在初始投资扣除大于同期现金流量的情况下就很可能是这样。

在这种情况下,新投资在投资后紧接的几年里会产生负的税基,所以,如果对公司征税(对新投资而言)实际上对企业是有益的(Auer bach,1983a,p.451-505)。

免税期的税收收入成本取决于它是否适用于已存在的资产。如果适用,免税期就像长期减税一样,不仅会减少政策想鼓励的新投资的税负,而且还会减少企业在免税期内以前存在的所得来源缴纳的税收。

这使得免税期比特定目标的投资刺激(如投资税收抵免或补助)放弃的收入更大。

3.4 税法的不对称性

大多数国家都允许企业的净经营损失向以后年度结转,以冲销以后年度的应税所得;也有一些国家允许损失向以前年度结转,对其以前年度缴纳的税收退税。现在不纳税而将来可能纳税的企业可以看作其边际税率随时间变化的税制。

从这个意义上说,这种情况类似于免税期。不过,在这种情况下,不能简单地假定现在不纳税的企业的当期边际税率为零。从现值来看,今天多取得的收入将产生很大的纳税义务,即使没有立即纳税。

例如,假定某个企业今年有税收损失,可以结转到以后年度,而且肯定下一年度会扣除完毕,企业将再次纳税。如果企业今年增加一元所得,这笔所得将减少一元向以后年度结转的税收损失,继而将增加一元企业下年度的应税所得。因此,企业对这一元增加的所得所缴纳税收向后拖延一年。当期的真实边际税率(可称之为“影子税率”)就等于是按名义利率贴现的法定税率τ。

税收损失和相关的不对称性的重要性需要用经验方法分析。例如,阿尔特舒勒和奥尔巴克(Altshuler and Auerbach,1990,p.63-86)估计,美国企业在1980年左右面临的平均边际影子税率是32%,而在此期间的法定边际税率是46%。

明兹(Mintz,1988,p.225-231)也曾阐示了税收损失在加拿大的重要性。

同免税期一样,税收损失向以后年度结转产生的暂时不纳税,对投资刺激的影响是复杂的。如果实行一种慷慨的投资刺激计划,不纳税企业的投资实际上会受到抑制。

在这种情况下,改变投资刺激的方式也许更好一些,诸如不通过税制而给予直接补贴。

3.5 不确定性和风险

与讨论税法不对称的结论类似,企业在将来面临的税制具有不确定性,对企业的当期投资会有很大影响。所以,对税收政策比较现实的分析必须要考虑到企业对政府政策本身不确定性的看法。

在过去讨论税制设计时,政府方法的动态不一致性起很大作用,所以建议要吸引外资就必须提供慷慨的免税期(Doyle and Wijnbergen,1984)。

这个问题对资本成本的确定有很多影响。

第一,出现在资本成本方程式中的预期税率不一定是那些在政府文件中列明的税率,必须考虑到过去的行为以了解这种税率的决定。

第二,税收政策效率的判断,应当看政策变化所引致的投资的预期变化,而不能看公布的政策变化(Hansson and Stuart,1989,p.549-559)。

第三,税收政策的不确定性会引起厌恶风险的投资者要求获得高于预期收益率的风险酬金。因此,税收政策不确定性本身就会抑制投资。

即使税收环境是无风险的,但投资者对投资的未来赢利能力也是不确定的,也会要求预期收益率大大高于无风险利率。因此,资本使用成本公式(25)中的预期收益率r必须反映出这种风险酬金。同样,未来折旧扣除适用的贴现率也要考虑到这种税收利益的风险。

【参考文献】:

国内投资有效税率的测定:金-富勒顿方法(Measurement of Effective Tax Rates on Domestic Investment:The King-Fullerton Methodology)

国际投资有效税率的测定(Measurement of Effective Tax Rates on International Investment)

税收刺激对投资的影响:经验模型综述(Effects of Tax Incentives on Investment: A Survey of Empirical Models)

鼓励投资和创新的税收刺激:综述(Tax Incentives for Investment and Innovation:A Summary)

Altshuler, R. and A. J. Auerbach, 1990, The Importance of Tax Law Asymmetries: An Empirical Investigation, Quarterly Journal of Economics 105.

Anderson, K, K. Aramaki, A. L. Bovenberg and S. K. Chand, 1991, Tax Incentives and International Capital Flows: The Case of the United States and Japan, in A. Razin and J. Slemrod, eds., Internation Aspects of Taxation, University of Chicago Press.

Auerbach,A.J.,1983a,Corporate Taxationin the United States, Brookings Papers on Economic Activity 2.

Auerbach, A. J., 1983b, Taxation, Corporate Financial Policy, and the Cost of Capital, Journal of Economic Literature 21.

Auerbach, A. J., 1989, Tax Reform and Adjustment Costs: The Impact on Investment and Market Value, International Economic Review 30.

Auerbach, A. J., 1995, The Cost of Capital and Investment in Developing Countries, in A. Shah, ed., Fiscal Incentives for Investment and Innovation, Oxford University Press.

Auerbach, A. J. and J. R. Hines, 1988, Investment Tax Incentives and Frequent Tax Reform, American Economic Review 78.

Doyle, C. and S. van Wijnbergen, 1984, Taxation of Foreign Multinationals: A Sequential Bargaining Approach to Tax Holidays, Seminar paper 284, Institute for International Economic Studies.

Hansson, I. and C. Stuart, 1989, Why Is Investment Subsidized ?International Economic Review 30.

Jorgenson, D. , 1963, Capital Theory and Investment Behavior, American Economic Review 53.

King, M. and D. Fullerton, 1984, The Taxation of Income from Capital,University of Chicago Press.

Mintz, J. M., 1988, An Empirical Estimate of Corpoate Tax Refundability and Effective Rates, Quarterly Journal of Economics 103.

Mintz, J. M. , 1995, Tax Holidays and Investment, in A. Shah, ed., Fiscal Incentives for Investment and Innovation, Oxford University Press.

Pellechio, A., 1987, A Model for Analysis of Taxation of Capital Investment in Developing Countries, DRD Discussion Paper 263,World Bank.

随便看

 

离鸟网收录3541549条中英文词条,其功能与新华字典、现代汉语词典、牛津高阶英汉词典等各类中英文词典类似,基本涵盖了全部常用中英文字词句的读音、释义及用法,是语言学习和写作的有利工具。

 

Copyright © 2004-2024 vtrois.com All Rights Reserved
更新时间:2026/4/19 3:24:59