反卡尼
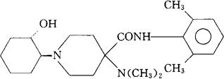
C22H35N3O2=373.54 CAS-88296-62-2 反式-(±)-4-(二甲氨基)-N-(2,6-二甲基苯基)-1-(2-羟环己基)-4-哌啶甲酰胺。 4-Piperidinecarboxamide,4-(dimethylamino)-N-(2,6-dimethylphenyl)-1-(2-hydroxycyclohexyl)-,trans(±)-. (±)-反式-4-(二甲氨基)-1-(2-羟环己基)-2′,6′-异哌啶二甲基苯甲酰胺。 (±)-trans-4-(Dimethylamino)-1-(2-hydroxycyclohexyl)-2′,6′-isonipectoxylidide. 抗心律失常药,心脏抑制药。 反式司卡尼。 Transcainide,R 54,718. INN,USAN.  |