网站首页  词典首页


请输入您要查询的字词:

 

字词 双辊压榨偏心距的计算
类别 中英文字词句释义及详细解析
释义 双辊压榨偏心距的计算

【说明】 见图1-15-63

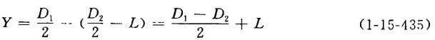
【公式】

式中 Y——偏心距(mm)

D1、D2、——下辊及上辊直径(mm)

L——垂线与下辊面间距(mm)

【例1】 真空下压榨辊直径D1=740mm,上压辊直径D2=570mm,L=15mm,则偏心距为:

【例2】 下压榨辊D1=600mm,上压榨辊D2=700mm,L=150mm,则偏心距为:

随便看

 

离鸟网收录3541549条中英文词条,其功能与新华字典、现代汉语词典、牛津高阶英汉词典等各类中英文词典类似,基本涵盖了全部常用中英文字词句的读音、释义及用法,是语言学习和写作的有利工具。

 

Copyright © 2004-2024 vtrois.com All Rights Reserved
更新时间:2026/4/19 6:49:37