网站首页  词典首页


请输入您要查询的字词:

 

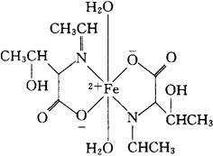
字词 双苏氨铁
类别 中英文字词句释义及详细解析
释义 双苏氨铁

C12H24FeN2O8=380.18

CAS-15339-50-1

氢双(N-亚乙基苏氨酸基)二水合高铁(Ⅱ)酸盐(Ⅱ)。

Hydrogen bis(N-ethylidenethreoninato)diaquoferrate(Ⅱ).

二水合双(N-亚乙基苏氨酸基)铁。

Diaquabis(N-ethylidenethreoninato)iron.

抗贫血药,补血药。

Ferrotrenine,Ferrothreon.

INN,USAN.

随便看

 

离鸟网收录3541549条中英文词条,其功能与新华字典、现代汉语词典、牛津高阶英汉词典等各类中英文词典类似,基本涵盖了全部常用中英文字词句的读音、释义及用法,是语言学习和写作的有利工具。

 

Copyright © 2004-2024 vtrois.com All Rights Reserved
更新时间:2026/4/18 10:59:01