双缝干涉
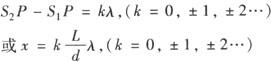
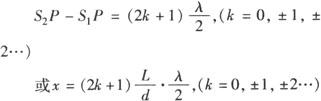
当单色光(或激光)经过双缝后就变成了两个振动情况总是相同的波源(双缝之间的距离d足够小,且远小于双缝到屏幕的距离),当它们分别从双缝到光屏上某点的路程差是波长的整数倍时,两列光波在该点为波峰与波峰叠加、波谷与波谷叠加而出现亮条纹;若到达屏上某点的距离差为半波长的奇数倍时,两列光波在该点一定是波峰与波谷相遇叠加而减弱,因而该点出现暗条纹,如图所示.  出现明条纹的条件为:  出现暗条纹的条件为:  1.屏上明条纹暗条纹之间的距离总是相等的,其距离大小△x与双缝之间距离d,双缝到屏的距离L及光的波长λ有关,即  在L和d不变的情况下,△x和波长λ成正比,应用上式可测光波的波长λ 2.用同一实验装置做干涉实验,红光干涉条纹的间距△x红最大,紫光的干涉条纹间距△x紫最小,则可知:λ红大于λ紫,红光的频率f红小于紫光的频率f紫. 3.若用单色光实验,在屏上得到明暗相间的条纹;若用白光实验,中央条纹是白条纹,两侧是彩色条纹. |