网站首页  词典首页


请输入您要查询的字词:

 

字词 双氯青霉素钠[典]
类别 中英文字词句释义及详细解析
释义 双氯青霉素钠[典]

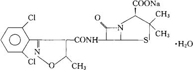
C19H16Cl2N3NaO5S·H2O=510.32

CAS-13412-64-1

CAS-343-55-5(anhydrate)

6-[3-(2,6-二氯苯基)-5-甲基-4-异噁唑甲酰胺基]青霉烷酸钠-水化合物。

6-[3-(2,6-Dichlorophenyl)-5-methyl-4-isoxazolcarboxamido]penicillanate sodium monohydrate.

抗生素类药。用于心内膜炎、败血症、骨髓炎、脑膜炎等。

双氯苯唑青霉素钠,双氯苯甲异噁唑青霉素钠,双氯西林钠。

Dicloxacilline Sodium,Dicloxin.

双氯青霉素钠片。

JAN,JP,USAN,USP,MI.

随便看

 

离鸟网收录3541549条中英文词条,其功能与新华字典、现代汉语词典、牛津高阶英汉词典等各类中英文词典类似,基本涵盖了全部常用中英文字词句的读音、释义及用法,是语言学习和写作的有利工具。

 

Copyright © 2004-2024 vtrois.com All Rights Reserved
更新时间:2026/4/19 15:26:29