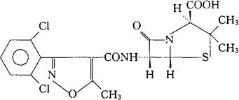
双氯西林
C19H17Cl2N3O5S=470.33 CAS-3116-76-5 [2S-(2α,5α,6β)]-6-[[[(3-(2,6-二氯苯基)-5-甲基-4-异噁唑基]羰基]氨基]-3,3-二甲基-7-氧代-4-硫杂-1-氮杂联环[3.2.0]庚烷-2-羧酸。 4-Thia-1-azabicyclo[3.2.0]heptane-2-carboxylic acid,6-[[[3-(2,6-dichlorophenyl)-5-methyl-4-isoxazolyl]carbonyl]amino]-3,3-dimethyl-7-oxo,[2S(2α,5α,6β)]. 6-[3-(2,6-二氯苯基)-5-甲基-4-异噁唑羧酰胺基]-3,3-二甲基-7-氧代-4-硫杂-1-氮杂联环[3,2,0]-庚烷-2-羧酸。 6-[3-(2,6-Dichlorophenyl)-5-methyl-4-isoxazolecarboxamido]-3,3-dimethyl-7-oxo-4-thia-1-azabicyclo[3.2.0]heptane-2-carboxylic acid. 抗生素类药。 双氯青霉素。 Dicloxaxillin,BRL-1702,R-13423. INN,BAN,USAN. 
|