网站首页  词典首页


请输入您要查询的字词:

 

字词 双氯芬酸
类别 中英文字词句释义及详细解析
释义 双氯芬酸

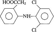
C14H11Cl2NO2=296.15

CAS-15307-86-5

2-[(2,6-二氯苯基)氨基]苯乙酸。

2-[(2,6-Dichlorophenyl)amino]benzeneacetic acid.

[o-(2,6-二氯苯胺基)苯基]乙酸。

[o-(2,6-Dichloroanilino)phenyl]acetic aced.

消类镇痛药。

Diclofenac.

INN,BAN.

随便看

 

离鸟网收录3541549条中英文词条,其功能与新华字典、现代汉语词典、牛津高阶英汉词典等各类中英文词典类似,基本涵盖了全部常用中英文字词句的读音、释义及用法,是语言学习和写作的有利工具。

 

Copyright © 2004-2024 vtrois.com All Rights Reserved
更新时间:2026/4/18 17:31:01