网站首页  词典首页


请输入您要查询的字词:

 

字词 双氯灭痛[中]
类别 中英文字词句释义及详细解析
释义 双氯灭痛[中]

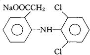
C14H10Cl2NNaO2=318.13

CAS-15307-79-6

2-(2,6-二氯苯胺基)苯乙酸钠。

2-(2,6-Dichloroanilino)phenylacetate sodium.

消炎镇痛药。用于类风湿性关节炎、神经炎、红斑狼疮及手术后疼痛。

双氯芬钠,双氯芬酚钠。

Diclofenac Sodium,Vo[taren,Sodium Diclofenamate.

双氯灭痛片,双氯灭痛栓,双氯灭痛注射液。

INN & BAN(Diclofenac),JAN,USAN,MI.

随便看

 

离鸟网收录3541549条中英文词条,其功能与新华字典、现代汉语词典、牛津高阶英汉词典等各类中英文词典类似,基本涵盖了全部常用中英文字词句的读音、释义及用法,是语言学习和写作的有利工具。

 

Copyright © 2004-2024 vtrois.com All Rights Reserved
更新时间:2026/4/17 21:28:02