双曲柄机构
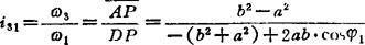
例5.2-27 反平行四杆机构  以短杆1、3为曲柄,长杆2、4分别为连杆、机架,各杆长为: ;a<b。构件1为主动件,从动曲柄3作反向非匀速转动,瞬时传动比为:  式中 P为构件1、3的速度瞬心;φ1为曲柄1的转角。当φ1=0°时, ;φ1=1880°时, 。这种反平行四杆机构的平均传动比i31=-1。 当曲柄1转至与机架AD重合的位置时,从动杆3也与AD重合,机构将出现运动不确定状态,即从动件3转向有反、正两种可能,从而须用特殊装置(如死点引出器等)或靠构件的惯性来渡过这个位置,以保证从动件转向不变。运动精度要求不高时,可用反平行四杆机构代替椭圆齿轮传动。 例5.2-28 三叶片泵  由三个相同的双曲柄机构组成。圆形转子1绕偏离壳体5几何中心的固定轴心A回转,三叶片3以固定轴心D为中心回转。当转子1回转时,叶片3的一端C在泵壳体5内侧滑移,把液体送往图示方向。 |