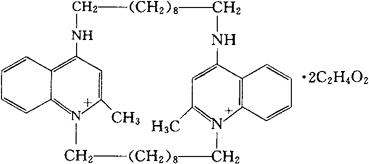
双喹醋铵
C40H58N4·2CH3COOH=713.08 CAS-3785-44-2 6,7,8,9,10,11,12,13,14,15,22,23,24,25,26,27,28,29,30,31,32,33-二十二氢-36,38-二甲基-5,34∶16,21-二亚乙烯基二苯并[b,r][1,5,16,20]四氮杂环三乌头碱-5,16-二鎓二醋酸盐。 6,7,8,9,10,11,12,13,14,15,22,23,24,25,26,27,28,29,30,31,32,33-Docosahydro-36,38-dimethyl-5,34∶16,21,diethenodibenzo[b,r][1,5,16,20]tetraazacyclotriacontine-5,16-diium diacetate. 消炎抗菌药,消毒防腐药。 Bicdequalinium Diacetate,Salvizol,Dekamesol,Osangin.sepacron,Tapazol,NZ 237,R 199. 
|