网站首页  词典首页


请输入您要查询的字词:

 

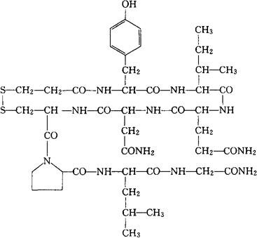
字词 去氨缩宫素
类别 中英文字词句释义及详细解析
释义 去氨缩宫素

C43H65N11O12S2=992.17

CAS-113-78-0

1-(3-巯基丙酸)催产素。

1-(3-Mercaptopropionic acid)-oxytocin.

子宫收缩药。

Demoxytocin,ODA 914.

INN,USAN,MI.

随便看

 

离鸟网收录3541549条中英文词条,其功能与新华字典、现代汉语词典、牛津高阶英汉词典等各类中英文词典类似,基本涵盖了全部常用中英文字词句的读音、释义及用法,是语言学习和写作的有利工具。

 

Copyright © 2004-2024 vtrois.com All Rights Reserved
更新时间:2026/4/17 17:15:41