网站首页  词典首页


请输入您要查询的字词:

 

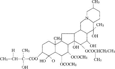
字词 原藜芦碱 A
类别 中英文字词句释义及详细解析
释义 原藜芦碱 A

C41H63NO14=793.92

CAS-143-57-7

4α,9-环氧瑟瓦烷-3β-4,6α,7α 14,15α,16β,20-辛醇6,7-二醋酸酯3(S)-(2-羟-2-甲基丁酸酯)15(R)-(2-甲基丁酸酯)。

4α,9-Epoxycevane-3β-4,6α,7α 14,15α,16β,20-octol 6,7-diacetate 3-(S)-(2-hydroxy-2-methylbutanoate)15(R)-(2-methylbutanoate).

抗高血压药,催吐药。

Protoveratrine A Veralba,Pro-Amid,Salzberger,Protalba.

USAN,MI.

随便看

 

离鸟网收录3541549条中英文词条,其功能与新华字典、现代汉语词典、牛津高阶英汉词典等各类中英文词典类似,基本涵盖了全部常用中英文字词句的读音、释义及用法,是语言学习和写作的有利工具。

 

Copyright © 2004-2024 vtrois.com All Rights Reserved
更新时间:2026/4/18 6:36:16