网站首页  词典首页


请输入您要查询的字词:

 

字词 原料混合问题数学模型
类别 中英文字词句释义及详细解析
释义 原料混合问题数学模型

指如何混合各类原料,在满足产品质量性能要求条件下,用最低的生产成本制成产品,这就是遍及许多工业部门的混合问题。

解决此类问题的数学模型如下:

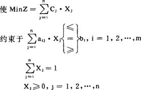
求Xj

式中:Xj为单位产品中含原料j的数量;Cj为单位产品中原料j的成本;b1为产品的第i项质量特性要求;aij为每单位原料;对产品第i项质量特性的满足程度数值。

又若各原料有杂质,需净除杂质才能混合时,可用

式中:dj为j原料中净除杂质后可应用的百分比值。

随便看

 

离鸟网收录3541549条中英文词条,其功能与新华字典、现代汉语词典、牛津高阶英汉词典等各类中英文词典类似,基本涵盖了全部常用中英文字词句的读音、释义及用法,是语言学习和写作的有利工具。

 

Copyright © 2004-2024 vtrois.com All Rights Reserved
更新时间:2026/4/17 17:16:02