网站首页  词典首页


请输入您要查询的字词:

 

字词 压铸机的选定
类别 中英文字词句释义及详细解析
释义 压铸机的选定

1.选择压铸机的型式

通常多采用卧式冷压室压铸机。对于锌合金则以热压室压铸机为宜。对于中心辐射状或圆筒形的铸件,当同时具备开设中心浇道的条件时,常常也采用立式冷压室压铸机生产。

2.计算胀型力(实际需要的锁模力)

锁模力是表示压铸机大小的最基本参数,其作用是克服压铸填充时的胀型力,使模具分型面不致张开,避免合金飞溅,保证铸件的尺寸精度。当压铸机的锁模力大于胀型力,则可视为该压铸机可以选用。

锁模力与胀型力的关系式为:

(1)用屈肘机构锁紧的压铸机

❶ 核算压铸模的厚度:

L最大≥H1+H2≥L最小

式中 L最大——压铸机最大开档(mm);

L最小——压铸机最小开档(mm);

H1——动模(包括模座)厚度(mm);

H2——定模厚度(mm)。

❷ 核算压铸模需要的开合模行程:

H行程≥H3+H4+c+2a

式中 H行程——压铸机开合模行程(mm);

H3——动模成型零件高度(按最大计算)(mm);

H4——定模成型零件高度(按最大计算)(mm);

c——铸件及浇道的总厚度(mm);

a——取件时,铸件与动模、定模间的最小间距,一般取5mm。

(2)用全液压锁紧的压铸机

❶ 按压铸机最小开档核算压铸模厚度,其关系式为:

H1+H2≥L最小

❷ 按压铸机最大开档核算压铸模需要的开模距离,其关系式为:

L最大≥H1+H2+H3+H4+c+2a

如果压铸模具有特殊结构时,则应根据具体情况进行核算。

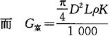
4.核算压铸机的压室容量

压铸机压室容量G应大于每次浇注的金属液的质量G(包括铸件、浇注系统、排溢系统的质量),即:

G>G

式中 D——压室直径(cm);

L——压室长度,包括浇口长度(cm);

ρ——液态合金密度(g/cm3);

K——压室充满度,取60%~80%。

5.其他

压铸模的外形尺寸和压铸模的局部尺寸均不应与机器零部件相碰,也不应超出允许的范围。

随便看

 

离鸟网收录3541549条中英文词条,其功能与新华字典、现代汉语词典、牛津高阶英汉词典等各类中英文词典类似,基本涵盖了全部常用中英文字词句的读音、释义及用法,是语言学习和写作的有利工具。

 

Copyright © 2004-2024 vtrois.com All Rights Reserved
更新时间:2026/4/19 6:54:32