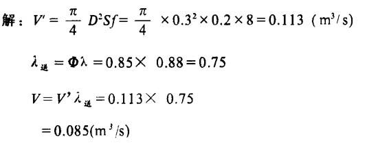
压缩机的生产能力计算
 式中 V——压缩机的生产能力(m3/s) V ——理论吸气量(m3/s) λ送——送气系数,表示实际送进气缸里的气体一部分被漏到压缩机外,所以,实际送气量比实际吸气量要少,一般λ送=0.7~0.9  λ——容积系数 Φ——由阀阻力、缸壁温度、气缸等各部件泄漏引起送气量减少的综合系数。一般为0.8~0.95 D——活塞直径(m) S——活塞冲程(m) f——活塞往复运动频率(Hz) [例]某压缩机的单动气缸,其活塞直径为300mm,行程为200mm.往复频率为8Hz,求其生产能力。已知λ=0.88,Φ=0.85。  |