网站首页  词典首页


请输入您要查询的字词:

 

字词 压榨辊中高的校核计算
类别 中英文字词句释义及详细解析
释义 压榨辊中高的校核计算

【说明】 压榨辊的中高度磨好后,应在与工作条件相同的载荷下进行校核,校核的方法有两种。

1.压痕法

【说明】 该法极为简单,但要在停机时方能进行。其校核方法如下:取数张蓝复写纸(或其它压敏材料)沿压辊全宽或分别置于下压辊的两侧和中央部位,慢慢放下上压辊,使与下辊接触,然后根据正常操作施以附加压力,历时数秒钟后,撤去附加压力,并稍微抬起上压辊。取出复写纸(或压敏材料),分别准确量取全宽或中央及两侧三个部位的压痕宽度。如发现中央部位的压痕较宽,两端压痕较窄,即说明了压榨辊中高过大;如两侧压痕较宽,中央部位压痕较窄,则说明中高不足;如果一端压痕较窄,中央部位稍宽,另一端更宽,则说明加压情况不均匀,甚至压辊的安装有问题,需要重新校正。

发现校正后压区宽度不均匀时,应校正压榨辊的中高度,可按下式求出中高的校正值。如果校正值系正值,则应加到两辊的总中高度上去;如是负值,则应自总中高度中减去此值。

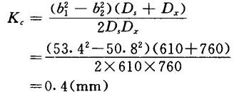
【公式】

式中 Kc——中高校正值(mm)

b1——端部压痕宽度(mm)

b2——中部压痕宽度(mm)

D5——上压辊直径(mm)

Dx——下压辊直径(mm)

【例】 下压辊直径760mm,上压辊直径610mm,如测得端部压痕宽度为53.4mm,中央部位压痕宽度为50.8mm,则中高校正值应为:

根据计算结果,压榨辊中高度应增加0.4mm。

2.测定水分法

【说明】 在实际生产中,通过测定离开压榨装置的纸幅两侧和中间部位的水分含量,即可确定压辊的中高是否合适。如果三者水分存在差异,则说明中高度不合适。

随便看

 

离鸟网收录3541549条中英文词条,其功能与新华字典、现代汉语词典、牛津高阶英汉词典等各类中英文词典类似,基本涵盖了全部常用中英文字词句的读音、释义及用法,是语言学习和写作的有利工具。

 

Copyright © 2004-2024 vtrois.com All Rights Reserved
更新时间:2026/4/18 15:01:58