压区变形计算
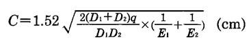
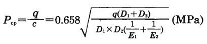
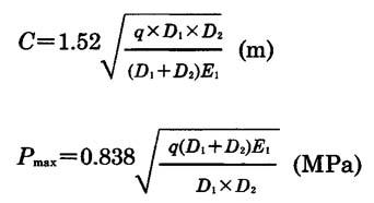
湿纸每一个干度与一定比压相适应,提高比压可以增加脱水,但比压超过一定极限湿纸压溃,称此极限压力为临界压力。临界压力不仅与湿纸的干度有关,而且与纸浆的种类、浆的打浆度、温度、毛毯的种类和清洗等等有关。  式中 q——辊间线压,kN·m-1 D1、D2——辊子直径,m E1、E2——辊子(或胶辊)的弹性模数,Pa 当变形宽度等于C时,平均比压为:  变形面中心最大压力为:  如其中有一个是胶辊,则它的弹性模数E1比另一个辊子E2小很多,则 的数值比 小很多,因此 可以忽略,变形大小决定于  当胶面厚度小于8~10mm,弹性模数几乎不变,当胶面厚度大于8~10mm,因为变形宽度增加,纵向弹性模数也增加。 辊间毛毯和纸张以及纸张辊子的转动,会改变变形宽度,因此不能全用上式计算辊间比压,根据文献资料介绍,当线压为30kN/m,比压为0.75~1.2MPa,则变形宽度在20~40mm之间。 |