网站首页  词典首页


请输入您要查询的字词:

 

字词 压光辊中高的计算方法
类别 中英文字词句释义及详细解析
释义 压光辊中高的计算方法

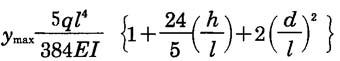
压光机底辊的正确中高量,可根据如下近似式求得。

式中:ymax——辊筒的最大挠度,cm

q——加于底辊的全部线压力加上底辊自重,除纸幅宽度“l”所得的数值,N/cm

l——纸幅的宽度,cm

E——辊体的杨氏模量(弹性系数),N/mm2

Ⅰ——底辊的惯性矩

h——从轴承中心至纸端之间的距离,cm

d——辊筒直径,cm

式中的E值必须注意选用,因压光辊是由外部的冷硬层(白口层)和内部的灰口层所构成。因此,其E值不能单纯用普通铸铁的E值来计算。

外部的冷硬层的E值是1.6×105N/mm2,而内部灰口层的E值是1.05×105N/mm2。因此整个辊筒的E值应将两者折中为1.4×105N/mm2。代入上述算式时应为1.4×107N/cm2

在一般情况下,中高量是以直径表示,因此中高量=2×ymax

表11—6-11为压光辊中高的理论曲线。

表11-6-11 压光辊中高的理论曲线

在实际情况下,由于轴承发热,影响压光辊两端受热膨胀,以及轴在材料力学上某些因素和压光辊在材质上的非均一性等,在计算公式中未能完全包括,因此实际中高与计算中高之间必须有一补正系数,一般情况是:

在新闻纸及中级纸造纸机上

实际中高=计算中高×(1.8~3.0)

在高级纸造纸机上

实际中高=计算中高×(0.7~1.6)

我国国产3150mm宽造纸机抄造凸版印刷纸时压光机中高的补正系数约为1.6。

随便看

 

离鸟网收录3541549条中英文词条,其功能与新华字典、现代汉语词典、牛津高阶英汉词典等各类中英文词典类似,基本涵盖了全部常用中英文字词句的读音、释义及用法,是语言学习和写作的有利工具。

 

Copyright © 2004-2024 vtrois.com All Rights Reserved
更新时间:2026/4/19 12:34:29