网站首页  词典首页


请输入您要查询的字词:

 

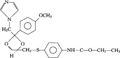
字词 厄布洛唑
类别 中英文字词句释义及详细解析
释义 厄布洛唑

C24H27N3O5S=469.56

CAS-124784-31-2

(±)-顺式-对-[[2-(咪唑基-1-甲基)-2-(对-甲氧苯基)-1,3-二氧戊环-4-基甲基]硫]苯氨基甲酸乙酯。

Ethyl(±)-cis-p-[[2-(imidazol-1-ylmethyl)-2-(p-methoxyphenyl)-1,3-dioxolan-4-ylme thyl]thio]carbanilate.

放射致敏药。

Erbulozole,R 55104.

INN,USAN.

随便看

 

离鸟网收录3541549条中英文词条,其功能与新华字典、现代汉语词典、牛津高阶英汉词典等各类中英文词典类似,基本涵盖了全部常用中英文字词句的读音、释义及用法,是语言学习和写作的有利工具。

 

Copyright © 2004-2024 vtrois.com All Rights Reserved
更新时间:2026/4/20 8:39:42