网站首页  词典首页


请输入您要查询的字词:

 

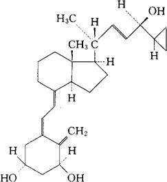
字词 卡泊三醇
类别 中英文字词句释义及详细解析
释义 卡泊三醇

C27H40O3=412.61

CAS-112828-00-9

(5Z,7E,22E,24S)-24-环丙基-9,10开键胆甾-5,7,10(19),22-四烯-1α,3β,24-三醇。

(5Z,7E,22E,24S)-24-Cyclopropyl-9,10-secochola5,7,10(19),22-tetraene-1α,3β,24-triol.

抗牛皮癣药。

Calcipotriol,Cafeipotriene,MC903.

INN,USAN.

随便看

 

离鸟网收录3541549条中英文词条,其功能与新华字典、现代汉语词典、牛津高阶英汉词典等各类中英文词典类似,基本涵盖了全部常用中英文字词句的读音、释义及用法,是语言学习和写作的有利工具。

 

Copyright © 2004-2024 vtrois.com All Rights Reserved
更新时间:2026/4/21 16:28:54