网站首页  词典首页


请输入您要查询的字词:

 

字词 卡沙法胺
类别 中英文字词句释义及详细解析
释义 卡沙法胺

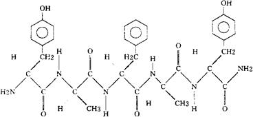
C33H40N6O7=632.72

CAS-98815-38-4

L-酪氨酰-D-丙氨酰-L-苯丙氨酰-D-丙氨酰-L-酪氨酰胺。

L-Tyrosyl-D-alanyl-L-phenylalanyl-D-alanyl-L-ty--rosinamide.

Casokefamide.

INN,USAN.

随便看

 

离鸟网收录3541549条中英文词条,其功能与新华字典、现代汉语词典、牛津高阶英汉词典等各类中英文词典类似,基本涵盖了全部常用中英文字词句的读音、释义及用法,是语言学习和写作的有利工具。

 

Copyright © 2004-2024 vtrois.com All Rights Reserved
更新时间:2026/4/21 0:12:58