网站首页  词典首页


请输入您要查询的字词:

 

字词 卡方(X2)分布
类别 中英文字词句释义及详细解析
释义 卡方(X2)分布

小样本推断中最常用的分布。

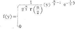
英国统计学家卡尔·皮尔生(Karl Pearson)提出。设x服从正态分布N(0,1),又设x1,x2,……,xn为x的一个样本,它们的平方和为。则服从参数为n的X2分布,其分布密度函数为:

其他

其中卡方分布的数学期望为n,方差为2n。

X2分布上100α百分位点(n)是指满足=α的点。对不同的α及n的100α百分位点有X2表可查。该分布与,p=n时的r分布相同。

当n很大时近似服从正态分布

X2分布具有可加性,设,且它们相互独立,则

X2分布在列联表,方差估计,分布和随机样本参数的假设检验中有著广泛的应用。

随便看

 

离鸟网收录3541549条中英文词条,其功能与新华字典、现代汉语词典、牛津高阶英汉词典等各类中英文词典类似,基本涵盖了全部常用中英文字词句的读音、释义及用法,是语言学习和写作的有利工具。

 

Copyright © 2004-2024 vtrois.com All Rights Reserved
更新时间:2026/4/19 12:12:44