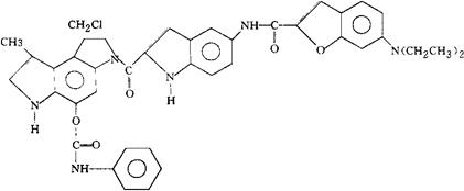
卡折来辛
C41H37ClN6O5=729.23 CAS-119813-10-4 (S)-N-[2-[[1-(氯甲基)-1,6-二氢-8-甲基-5-[[(苯胺基)羰基]氧]苯并[1,2-b∶3-b′]二吡咯-3(2H)-基]羰基]-1H-吲哚-5-基]-6-(二乙氨基)-2-苯并呋喃甲酰胺。 ( S )-N-[ 2-LC l-( Chloromethyl )-l, 6-dihydro-8-methyl- 5-T T ( phenylamino ) carbonyl ]oxy J benzo [ 1 > -2-b : 3-b']dipyrrol-3(2H)-yl]carbony!]-lH-indol-5-yll-6-(diethylamino)-2-benzofurancarboxamide. N-[2-[[(S)-1-(氯甲基)-1,6-二氢-5-羟-8-甲基苯并[1,2-b∶4,3-b′]二吡咯-3(2H)-基]羰基]-1H-吲哚-5-基]-6-(二乙氨基)-2-苯并呋喃甲酰胺苯氨基甲酸酯。 N-[2-[[(S)-1-(Chloromethyl)-1,6-dihydro-5-hydroxy-8-methylbenzo[1,2-b∶4,3-b′]dipyrrol-3(2H)-yl]carbonyl]-1H-indol-5-yl]6-(diethylamino)-2-benzofurancarboxamide carbanilate(ester). 抗肿瘤药。 Carzelesin,U-80244. USAN.  |