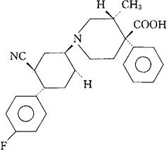
卡巴斯丁
C26H29FN2O2=420.53 CAS-79449-98-2 (±)-反式-1-[顺式-4-氰基-4-(对-氟苯基)环己基]-3-甲基-4-苯基异哌啶甲酸。 (±)-trans-1-[cis-4-Cyano-4-(p-fluorophenyl)cyclohexyl]-3-mettyl-4-phenylisonipecotic acid. 1-[4-氰基-4-(4-氟苯基)环己基]-3-甲基-4-苯基-4-哌啶羧酸。 1-[4-Cyano-4-(4-fluorophenyl)cyclohexyl]-3-methyl-4-phenyl-4-peperidinecarboxylic acid. 抗组胺药。 Cabastine. INN,USAN.  |