网站首页  词典首页


请输入您要查询的字词:

 

字词 卡吲洛尔
类别 中英文字词句释义及详细解析
释义 卡吲洛尔

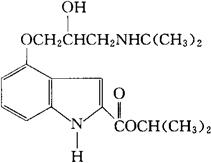
C19H28N2O4=348.44

CAS-39731-05-0

(±)-4-[3-(叔-丁氨基)-2-羟丙氧基]吲哚-2-羧酸异丙酯。

Isopropyl(±)-4-[3-(test-butylamino)-2-hydroxypropoxy]indole-2-carboxylate.

(±)-1-甲基-4-[3-[(1,1-二甲基乙基)氨]-2-羟基丙氧]-1H-1-吲哚-2-羧酸酯。

(±)-1-Methyl-4-[3-[(1,1-dimethylethl)amino]-2-hydrooxypropoxy]-1H-indole-2-carboxylate.

β-受体阻滞药。用于治疗心肌梗塞疾病。

卡平洛尔,卡品多罗。

Carpindolol.

INN,USAN.

随便看

 

离鸟网收录3541549条中英文词条,其功能与新华字典、现代汉语词典、牛津高阶英汉词典等各类中英文词典类似,基本涵盖了全部常用中英文字词句的读音、释义及用法,是语言学习和写作的有利工具。

 

Copyright © 2004-2024 vtrois.com All Rights Reserved
更新时间:2026/4/19 18:51:20