网站首页  词典首页


请输入您要查询的字词:

 

字词 博克斯-詹金斯方法
类别 中英文字词句释义及详细解析
释义 博克斯-詹金斯方法

时间序列的博克斯-詹金斯方法是对于给定的时间序列寻求一个可适当表示数据生成过程的ARIMA模型的一种方法。

这种方法通常分为三个阶段:识别,估计和诊断校验。

识别阶段,在估计的自相关和偏自相关的基础上,对数据生成过程设定一个实验性ARIMA模型。
❶ 如果自相关衰减很慢或不消失,表明是非平稳的,需要进行差分(通常不超过1次或2次),直到获得平稳然后对差分过的序列识别一个ARMA模型。
❷ 对于MA(q)过程,当k>q时,自相关系数ρk=0,且偏自相关逐渐减少。为了确定自相关函数的截止点,可应用样本自相关函数。
❸ 对于一个AR(P),当k>p,偏自相关为0,且自相关逐渐减小。将估计值与#进行比较,可以确定偏自相关函数的截止点,因为当k>p时,估计量的近似标准差是#。
❹ 如果自相关和偏自相关都没有截止点,则ARMA模型可能是适当的。

AR和MA的阶数必须从自相关和偏自相关的特定模式中推断出来。

运用回归方法,可以估计纯AR过程的参数。如果包含MA项,则误差平方和的最小化或似然函数的最大化需要非线性最优化模型。使用适当的计算机软件可容易地估计出ARMA模型的参数。

在建模过程的第三阶段提出关于模型适当性或最佳性的一些校验。可能的方法是:
❶ 过度拟合已设定的模型。例如,如果ARMA(p,q)是识别和估计了的模型,则检查一下是否也可估计ARMA(p+1,q)模型和ARMA(p,q+1)模型,并检验增加参数的显著性。

❷ 进行残差分析,残差分析通常基于这样的事实:一个适当模型的残差应该近似地为白噪声。

在奇异值(outlier)的校验中,残差的散点图是一种有用的工具。已知白噪声序列的自相关为零。因此,通常将残差与它的近似的两个标准误差界限±2/#相比较来校验残差自相关的显著性,这里T是样本容量或样本的数据个数。然而,注意ARMA模型的残差实际上具有一个不同于白噪声的分布。

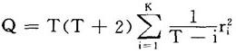
如果一阶残差自相关接近于临界边界,则有理由认为模型是适当的。为了校验残差自相关的可接受性,常使用多用途检验统计量

式中的ri是估计残差的滞后i期自相关系数,K是事先设定的数。

在残差分析中,可以计算不同K的Q值。对于ARMA(p,q)过程,如果正确地设定ARMA的阶,则统计量Q近似于自由度为(K-p-q)的x2分布的经验表明,在小样本中,以多用途统计量为根据的经验不是很有功效的。

在校验阶段,如果模型被拒绝,则必须重新进行建模过程,开始新的识别。

随便看

 

离鸟网收录3541549条中英文词条,其功能与新华字典、现代汉语词典、牛津高阶英汉词典等各类中英文词典类似,基本涵盖了全部常用中英文字词句的读音、释义及用法,是语言学习和写作的有利工具。

 

Copyright © 2004-2024 vtrois.com All Rights Reserved
更新时间:2026/4/20 11:37:38