网站首页  词典首页


请输入您要查询的字词:

 

字词 博克斯—詹金斯预测法
类别 中英文字词句释义及详细解析
释义 博克斯—詹金斯预测法

博克斯和詹金斯提出的一种预测方法。

它根据时间序列资料,从所谓博克斯—詹金斯模型族中寻求和建立一个最佳时间序列关系的预测模型。

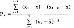
博克斯—詹金斯预测法有以下几个重要概念:(1)平稳性序列和自相互函数。平稳性是指时间序列资料不随时间的推移而发生大的波动;自相互函数是研究时间序列x1,x2,…,xt间相邻项相关程度的函数。xt与xt+k的自相关函数写成:

式中,。自相关函数是检验时间序列平稳性的重要手段。当K值增大时,如果k迅速下降,则说明时间序列平稳,否则是不平稳的。(2)差分。一阶差分定义如下:

△Xt=Xt-Xt-1

二阶差分定义如下:

2xt=△(△xt)=△xt-△xt-1

高阶差分(二阶以上)以此类推。

(3)齐次非平稳性序列。这一序列是指经过一次或有限次差分后,可以把不平稳序列变换成平稳序列,(4)博克斯-詹金斯模型分为两个基本平稳模型:
❶ 自回归模型BJ(P,0),数学形式为:

Xt1Xt-12Xt-2+…+ΦpXt-p+εt

式中,Φi为方程的参数;xt为实际观察值;εt为随机误差项。
❷ 滑动平均模型BJ(0,q),数学型式为:

xtt+Q1εt-1+…+Qqεt-q+μ

式中,μ为xt的平均值,Qi为参数,εt为随机误差项。

由BJ(p,0)和BJ(0,q)出发,可以构成混合回归与滑动平均模型BJ(p,q),以及处理齐次非平稳时间序列的结合自回归与滑动平均模型BJ(p,d,q)。

BJ(p,q)的基本形式如下:

Xt1Xt-1+…φpXt-qt+Q1εt-1

+……+Qqεt-q+q

BJ(p,d,q)与BJ(p,q)的形式相同,只是将xi换为△dxi,d为差分阶数。

应用博克斯——詹金斯预测的基本步骤是:(1)识别。首先通过Pk检验时间序列x1,x2,…,xt是否平稳,若不平稳则选取适当的d,使差分时间序列平稳。

求出平稳时间序列或差分后平稳时间序列的最佳p,q值,完成模型的识别。(2)估计。用最小平方法或其他方法估计模型的系数,并进行统计检验。若检验通不过,则重新识别模型或另行定式估计,反复数次,直至满意为止。(3)预测。选定模型后,代人前定变量,对未来进行预测。

随便看

 

离鸟网收录3541549条中英文词条,其功能与新华字典、现代汉语词典、牛津高阶英汉词典等各类中英文词典类似,基本涵盖了全部常用中英文字词句的读音、释义及用法,是语言学习和写作的有利工具。

 

Copyright © 2004-2024 vtrois.com All Rights Reserved
更新时间:2026/4/18 20:51:55