网站首页  词典首页


请输入您要查询的字词:

 

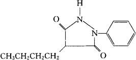
字词 单苯保泰松
类别 中英文字词句释义及详细解析
释义 单苯保泰松

C13H16N2O2=232.28

CAS-2210-63-1

4-丁基-1-苯基-3,5-吡唑烷二酮。

4-Butyl-1-phenyl-3,5-pyrazolidinedione.

镇痛药。

莫非保松。

Mofebutazone,Mobutazone,Reumatox.

INN,DCF,DCIT,NFN,USAN,MI.

随便看

 

离鸟网收录3541549条中英文词条,其功能与新华字典、现代汉语词典、牛津高阶英汉词典等各类中英文词典类似,基本涵盖了全部常用中英文字词句的读音、释义及用法,是语言学习和写作的有利工具。

 

Copyright © 2004-2024 vtrois.com All Rights Reserved
更新时间:2026/4/18 11:44:18