网站首页  词典首页


请输入您要查询的字词:

 

字词 单值控制图
类别 中英文字词句释义及详细解析
释义 单值控制图

指根据观察所得的每个质量数据,不需进行计算和分组,直接将数据用点子绘在图上,以观察生产过程(或工序)是否处于控制状态的一种产品质量控制图。

它是连续型随机变量计量数据最简单的控制图。这种随机变量服从于正态分布。

在产品质量均一、样本容量只取一个就能代表该批产品,或者加工时间较长、测量比较麻烦费用较大的零件,均可用单值控制图。

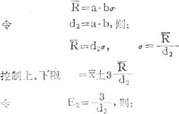
单值控制图的中心线为样本算术平均数,控制上、下限为

,在生产情况正常,所抽取样本x越出控制上、下限的概率只有0.003,所抽取的x落入控制上、下限之间的概率就有0.997,也就是说产品的合格率可以达到99.7%。如果样本单位数大于50时,也可用样本标准差S代替总体标准差σ计算。

但是计算S或σ,都比较麻烦。为了简便起见,用样本的极差平均数()代替σ。R为移动极差,即|xi+1-xi|。

在正态分布情况下,样本极差的平均数和样本标准差的平均数存在线性关系,其系数为a。则:

a为之间的系数。

样本标准差的平均数和总体标准差的关系为:

b为与σ之间的系数。

以此式代入,得:

E2数值见下表:

n为样本容量。

在用移动极差时,n等于2,查表中数据为2.66,故:

随便看

 

离鸟网收录3541549条中英文词条,其功能与新华字典、现代汉语词典、牛津高阶英汉词典等各类中英文词典类似,基本涵盖了全部常用中英文字词句的读音、释义及用法,是语言学习和写作的有利工具。

 

Copyright © 2004-2024 vtrois.com All Rights Reserved
更新时间:2026/4/18 2:47:31