网站首页  词典首页


请输入您要查询的字词:

 

字词 单值和移动极差控制图(X—R5图)
类别 中英文字词句释义及详细解析
释义 单值和移动极差控制图(X—R5图)

这是把单值控制图和移动极差控制图联用的一种形式。

一般把单值控制图放在移动极差控制图的上方。这两种图的作用与-R图的作用大致相同。

主要用于数据不便分组,或加工时间长,测量费用高,以及质量均一,只需取一个样品等场合。

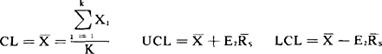
单值控制图的中心线和控制界限的计算公式如下:

式中:CL表示中心线,UCL表示控制上限;LCL表示控制下限;表示K个数据的平均值;表示移动极差的平均值;E2表示由子样大小n确定的系数,可由控制图用系数表查得。

移动极差Rs为相邻两个数据之差的绝对值,即:

移动极差控制图的中心线、控制界限的计算公式如下:

式中:D3、D4可由控制图用系数表查得。

随便看

 

离鸟网收录3541549条中英文词条,其功能与新华字典、现代汉语词典、牛津高阶英汉词典等各类中英文词典类似,基本涵盖了全部常用中英文字词句的读音、释义及用法,是语言学习和写作的有利工具。

 

Copyright © 2004-2024 vtrois.com All Rights Reserved
更新时间:2026/4/17 23:21:10