单位面积上所损失的重量计算
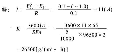
[说明]若以单位时间内单位面积上所损失的重量表示腐蚀速度,可用法拉第定律进行计算,只要知道电流强度的数值,即可计算出腐蚀速度的大小。  式中 K——腐蚀速度[g/(m2·h)] S——腐蚀面积(m2) 其它同上 [例]在图2-1-4中,测出它的电极电位为EZn=-1.0V,E°Cu=0.1V,系统中的电阻R为0.1Ω,若锌(阳)极的表面积为5cm2,求腐蚀速度。  [注意]实验证明,由于阳极与阴极发生了极化作用,即使实际上的腐蚀速度仅为计算值的 ~ ,即阳极上的电流密度比计算值要小得多,实际的腐蚀速度的计算方法见下。 |