华法林钠[典]
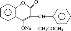
C19H15NaO4=330.31 CAS-129-06-6 CAS-81-81-2(warfarin) 4-羟-3-(3-氧代-1-苯丁基)-2H-1-苯并吡喃-2-酮,钠盐。 2H-1-Benzopyran-2-one,4-hydroxy-3-(3-oxo-1-phenylbutyl)sodium salt. 3-(2-乙酰-1-苯乙基)-4-羟香豆素钠盐。 3-(2-Acetyl-1-phenylethyl)-4-hydroxycoumarin sodium salt. 抗凝血药,杀鼠药。能抑制肝细胞中凝血酶原和凝血因子Ⅱ、Ⅺ、Ⅻ和x的合成,用于防治血栓。 酮苄香豆素钠,华法令钠,苄丙酮香豆素钠,华法灵,苯甲香豆醇钠(台)。 Warfarin Sodium,Coumadin Panwarfin Sodium. BP,JP,IP,USAN,USP,MI. 
|