网站首页  词典首页


请输入您要查询的字词:

 

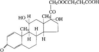
字词 半琥泊酸泼尼松龙
类别 中英文字词句释义及详细解析
释义 半琥泊酸泼尼松龙

C25H32O8=460.52

CAS-2920-86-7

(11β)-21-(3-羧-1-氧代丙氧)-11,17-二羟-孕甾-1,4-二烯-3,20-二酮。

(11β)-21-(3-Carboxy-1-oxopropoxy)-11,17-dihydroxypregna-1,4-diene-3,20-dione.

11β,17,21-三羟孕甾-1,4-二烯-3,20-二酮21-(氢琥珀酸酯)。

11β,17,21-Trihydroxypregna-1,4-diene-3,20-dione 21-(hydrogensuccinate).

肾上腺皮质激素类药。

半琥珀酸氢化泼尼松。

Prednisolone Hemisuccinate.

USAN,USP.

随便看

 

离鸟网收录3541549条中英文词条,其功能与新华字典、现代汉语词典、牛津高阶英汉词典等各类中英文词典类似,基本涵盖了全部常用中英文字词句的读音、释义及用法,是语言学习和写作的有利工具。

 

Copyright © 2004-2024 vtrois.com All Rights Reserved
更新时间:2026/4/17 21:04:37