网站首页  词典首页


请输入您要查询的字词:

 

字词 默顿,r.
类别 中英文字词句释义及详细解析
释义
默顿,R.

默顿,R.Merton,Robert,1944~

1997年诺贝尔经济学奖获得者之一,金融工程学开创者之一。1944年生于美国纽约。1966年默顿毕业于哥伦比亚大学工学院,获工程数学学士学位。1967年获加州理工学院应用数学硕士学位。1970年到麻省理工学院,选修保罗·萨缪尔森(Paul Samuelson)的数理经济学专业,从此成为保罗·萨缪尔森的助手。在麻省理工学院工作期间,默顿发表许多有创见的期权定价理论的论文。如:1973年《合理期权定价理论》,1976年的《标的股票的收益非连续时的期权定价》。在这些论文中,默顿提出并推广了“布莱克-斯科尔斯”公式,对期权定价理论做出杰出贡献。从1982年至1988年默顿任美国金融协会委员,并于1986年出任金融协会主席。1988年默顿离开麻省理工学院去哈佛大学商学院任教。从80年代后期起,默顿把用于分析期权定价的数学方法应用于更为广阔的金融领域,使金融风险管理具备了定量分析工具。
为默顿赢得诺贝尔经济学奖的主要是其在期权定价理论方面的贡献:
1. 默顿的可变利率模型 默顿以贴现债券的收益来代表利率,并且认为债券收益波动符合伊藤过程。假设投资组合由三个部分组成——看涨期权、股票和债券,并假设看涨期权价格可表示为债券价格、股票价格和距到期日时间的函数。通过分析导出可变利率模型解为:

其中,T:从现在距到期日的时间差,即(t*-t),t:现在的日期,t*:期权的到期日。c:一个即期时间为t的欧式看涨期权价格。S:t时的股票价格。X:期权的执行价格。B:面值为一美元的无息债券价格。N:标准正态分布函数,N{q}=期权的方差。上式为欧式期权解,默顿认为:如果股票在期权有效期内不分红,则上述解也可适用于美式期权。
2.默顿的按比例分红模型 默顿假定红利是连续支付的,即δ≡D/S,导出标的股票以δ的比例连续支付红利的欧式看涨期权定价模型为:

其中r:无风险利率,σ2:期权的方差,其他符号解释同上。默顿认为:由于标的股票支付红利,所以这一解不能应用于美式看涨期权的定价上,在这种情况下,美式期权总存在着提前履行的可能性。
3.默顿的跳跃模型 默顿认为:股票价格的连续变动部分的原型为维纳过程,而跳跃部分的原型为泊松过程。存在两种特殊情况可导出简化解。第一种为萨缪尔森在1973年描述的股票价格存在瞬时灭失的正概率,即如果泊松事件发生,则股票价格趋近于0。在这种情况下,F(S,τ)=e-λτW(Seλτ,τ;E,σ2,r)=W(S,τ;E,σ2,r+λ),其中W(S,τ;E,r,σ2)为无跳跃时的布莱克—斯科尔斯模型,E为期权的执行价格。其他符号解释同上。此式与标准的布莱克—斯科尔斯解相同,但具有较大的利率,r′≡r+λ。默顿曾证明,期权价格为利率的增函数。因此,有完全灭失正概率股票的期权价值比无此种形式的期权价值高。此结论证实萨缪尔森的推测。第二种为随机变量Y服从对数正态分布,则:其中λ′≡λ(1+k),λ是每单位时间信息出现的平均次数,k≡ε(Y-1),其中(Y-1)是当泊松事件发生时股票价格随机变化的百分比,ε为随机变量Y的期望运算符。fn(S,τ)为在期权的有效期内发生n次泊松跳跃时的期权价值。实际期权价值F(S,τ)为这些价格每部分的加权和,其中每一权数等于特征参数为λ′τ的泊松随机变量取n时的概率。此为默顿的跳跃模型。
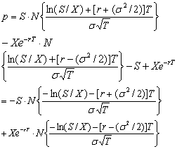
4.默顿的看跌期权定价模型 其一般均衡约束条件为:(1)一个看跌期权在到期日将取执行价格减股价之差与零的最大值,即P(S*,0;X)=p(S*,0;X)=Max[0,X-S*]。(2)当借贷利率相等时,一个欧式看跌期权与一个由相同条件的欧式看涨期权、面值为X的无风险债券和卖空股票所组成的投资组合等值。可导出欧式看涨和看跌期权之间的平价关系为:p(S,T;X)=c(S,T;X)-S+XB(T)。(3)一个欧式看跌期权的价格一定小于等于面值为X的完全折现债券价格,即p(S,T:X)≤XB(T)。(4)一个无股息永久性欧式看跌期权的价值一定为零,即p(S,∞;X)=c(S,∞,X)-S+XB(∞)=S-S+0=0。(5)如果标的股票价格为零,则欧式看跌期权的价值等于执行价格的现值,即p(0,T;X)=0-0+XB(T)。(6)一个美式看跌期权的价格要大于等于相应的欧式看跌期权的价格,即P(S,T;X)≥p(S,T;X)。根据欧式看涨和看跌期权的平价关系可导出看跌期权定价模型:

其中P:一个即期时间为t的美式看跌期权价格。p:一个即期时间为t的欧式看跌期权价格。带星号的变量如S*是指当时间为t*,即到期日时的价格。其他符号解释同上。
与以往的诺贝尔经济学奖得主相比,其显著特点是理论研究与金融市场的实际操作紧密联系。1993年默顿与另外九人组成一个名为“长期资本管理”的公司。
☚ 巴罗,R.J.   克鲁格曼·保罗 ☛
00003506
随便看

 

离鸟网收录3541549条中英文词条,其功能与新华字典、现代汉语词典、牛津高阶英汉词典等各类中英文词典类似,基本涵盖了全部常用中英文字词句的读音、释义及用法,是语言学习和写作的有利工具。

 

Copyright © 2004-2024 vtrois.com All Rights Reserved
更新时间:2026/4/18 9:09:12