网站首页  词典首页


请输入您要查询的字词:

 

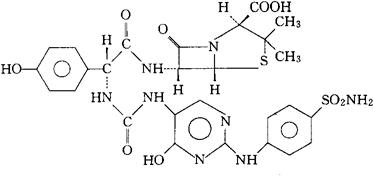
字词 匹罗西林
类别 中英文字词句释义及详细解析
释义 匹罗西林

C27H28N8O9S2=672.69

CAS-82509-56-6

(2S,5R,6R)-6-[(R)-2-(对-羟基苯基)-2-[3-[4-羟-2-(对-氨磺酰苯胺基)-5-嘧啶基]脲基]乙酰胺基]-3,3-二甲基-7-氧代-4-噻-1-氮杂双环[3.2.0]庚烷-2-羧酸。

(2S,5R,6R)-6-[(R)-2-(p-Hydroxyphenyl)-2-[3-[4-hydroxy-2-(p-sulfamoylanilino)-5-pyrimidinyl]ureido]acetamido]-3,3-dimethyl-7-oxo-4-thia-1-azabicyclo[3.2.0]heptane-2-carboxylic acid.

2-[3-[2-(对-氨基磺酰)苯胺基-4-羟-5-嘧啶基]脲基]-2-(4-羟苯基)乙酰胺青霉烷酸。

2-[3-[2-(p-Aminosulfonyl)anilino-4-hydroxy-5-pyrimidinyl]ureido]-2-(4-hydroxyphenyl)acetamide penicillanic acid.

抗生素类药。

Piroxicillin.

INN,USAN.

随便看

 

离鸟网收录3541549条中英文词条,其功能与新华字典、现代汉语词典、牛津高阶英汉词典等各类中英文词典类似,基本涵盖了全部常用中英文字词句的读音、释义及用法,是语言学习和写作的有利工具。

 

Copyright © 2004-2024 vtrois.com All Rights Reserved
更新时间:2026/4/20 12:18:29